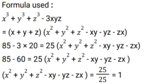
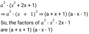
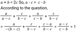
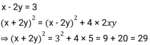
Algebra (SSC) (Part-10)Total Questions: 5021. Simplify : 3๐๐ ร (๐ + ๐)โปยน ร (๐โปยน + ๐โปยน) [SSC CHSL 31/05/2022 (Evening)](d) 3(a) 1/(๐ + ๐)(b) 1(c) (a + b)Correct Answer: (d) 3Solution:22. Solve the following equation: [SSC CHSL 31/05/2022 (Evening)](a) 69(d) 11(b) 121(c) 81Correct Answer: (d) 11Solution:23. If 8๐ยฒ + 9๐ + 8 = 0, then the value of ๐ยณ + (1/๐ยณ) is: [SSC CHSL 01/06/2022 (Morning)](a) 999/212(b) 199/212(c) 999/512(d) 199/512Correct Answer: (c) 999/512Solution:24. Expand ๐ฅยฒ + 2๐ฅ + 3 about ๐ฅ = -2 [SSC CHSL 01/06/2022 (Afternoon)](a) (๐ฅ - 2)ยฒ โ 2(๐ฅ + 2) + 3(b) (๐ฅ + 2)ยฒ โ 2(๐ฅ + 2) + 3(c) (๐ฅ + 2)ยฒ + 2(๐ฅ + 2) + 3(d) (๐ฅ - 2)ยฒ โ 2(๐ฅ - 2) - 3Correct Answer: (b) (๐ฅ + 2)ยฒ โ 2(๐ฅ + 2) + 3Solution:25. If a + b = 2c then the value of : [SSC CHSL 01/06/2022 (Afternoon)](a) 1/2(b) 1(c) 0(d) -1Correct Answer: (b) 1Solution:26. If ๐ฅ + ๐ฆ + ๐ง = 25 , ๐ฅยณ + ๐ฆยณ + ๐งยณ = 85 and ๐ฅ๐ฆ๐ง = 20, then find the value of ๐ฅยฒ + ๐ฆยฒ + ๐งยฒ โ ๐ฅ๐ฆ โ ๐ฆ๐ง โ ๐ง๐ฅ. [SSC CHSL 01/06/2022 (Evening)](a) 2(b) 1(c) 4(d) 3Correct Answer: (b) 1Solution:27. Which among the below options can be a square root of ? [SSC CHSL 02/06/2022 (Afternoon)](xยฒ - 14x + 49) (xยฒ + 6x + 9)(a) (x - 4)(x + 9)(b) (x - 1)(x + 17)(c) (x - 7)(x + 3)(d) (x - 3)(x + 8)Correct Answer: (c) (x - 7)(x + 3)Solution:28. Solve the following equation: [SSC CHSL 02/06/2022 (Afternoon)](a) 2/3(b) xยฒ + y(c) 1(d) x + yยฒCorrect Answer: (a) 2/3Solution:29. The factors of ๐ยฒ - 1 - 2x - ๐ฅยฒ are _______. [SSC CHSL 02/06/2022 (Evening)](a) (a - x - 1)(a - x - 1)(b) (a + 1 + x)(a - 1 - x)(c) (a - x + 1)(a - x + 1(d) (a - x + 1)(a - x - 1)Correct Answer: (b) (a + 1 + x)(a - 1 - x)Solution:30. If ๐ฅ - 2y = 3 and 2๐ฅy = 5, then find the value of (๐ฅ + 2y)ยฒ [SSC CHSL 03/06/2022 (Morning)](a) 29(b) 27(c) 30(d) 28Correct Answer: (a) 29Solution:Submit Quiz« Previous12345Next »