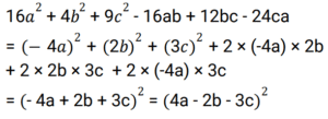
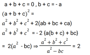
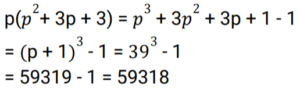
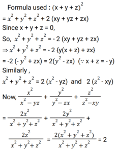
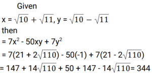
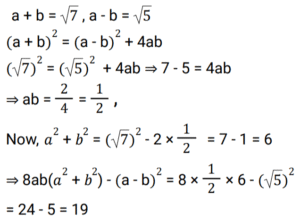
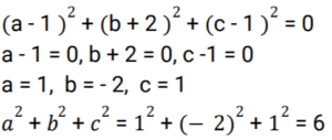
Algebra (SSC) (Part-10)Total Questions: 5031. Solve the following equation: [SSC CHSL 03/06/2022 (Morning)](a) 32(b) 256(c) 64(d) 2Correct Answer: (d) 2Solution:32. If a + b + c = 0 , then find the value of 𝑎² + 𝑏² + 𝑐²/𝑎² - 𝑏𝑐. [SSC CHSL 03/06/2022 (Afternoon)](a) −1(b) 1(c) 2(d) −2Correct Answer: (c) 2Solution:33. If a - b = 3 and 𝑎³ - 𝑏³ = 999 , then find the value of 𝑎² - 𝑏². [SSC CHSL 03/06/2022 (Afternoon)](a) 60(b) 62(c) 64(d) 63Correct Answer: (d) 63Solution:34. If (𝑎 − 1)² +(𝑏 + 2)² + (𝑐 − 1)² = 0, then the value of 𝑎² + 𝑏² + 𝑐². [SSC CHSL 06/06/2022 (Morning)](a) 6(b) 0(c) 2(d) 1Correct Answer: (a) 6Solution:35. 16𝑎² + 4𝑏² + 9𝑐² - 16ab + 12bc - 24ca = ? [SSC CHSL 06/06/2022 (Afternoon)](a) (4𝑎 - 2𝑏² + 3𝑐)²(b) (4𝑎 - 2𝑏² - 3𝑐)²(c) (4𝑎 + 2𝑏² - 3𝑐)²(d) (4𝑎 + 2𝑏² + 3𝑐)²Correct Answer: (b) (4𝑎 - 2𝑏² - 3𝑐)²Solution:36. If p = 38, then the value of p(𝑝² + 3p + 3) is ______ . [SSC CHSL 06/06/2022 (Evening)](a) 39313(b) 59319(c) 39318(d) 59318Correct Answer: (d) 59318Solution:37. If a + b = √7 and a - b = √5 , then the value of 8ab (𝑎² + 𝑏²) - (𝑎 - 𝑏)². [SSC CHSL 07/06/2022 (Morning)](a) 19(b) 23(c) 27(d) 21Correct Answer: (a) 19Solution:38. If P(x) = (𝑥³ - 8) (𝑥 + 1) and Q(x) = (𝑥³+ 1) (𝑥 - 2) the LCM of P(x) and Q(x) is: [SSC CHSL 07/06/2022 (Afternoon)](a) (𝑥²+ 2𝑥 + 4) (𝑥² + 4𝑥 + 1)(b) (𝑥 + 1)(𝑥 − 2)(𝑥² + 2𝑥 + 4) (𝑥² − 𝑥 + 1)(c) (𝑥 + 1)² (𝑥 − 2)² (𝑥² + 2𝑥 + 4) (𝑥² + 4𝑥 + 1)(d) (𝑥 − 2) (𝑥 + 1)Correct Answer: (b) (𝑥 + 1)(𝑥 − 2)(𝑥² + 2𝑥 + 4) (𝑥² − 𝑥 + 1)Solution:39. If 𝑥 + y + z = 0, then find the value of: [SSC CHSL 07/06/2022 (Evening)](a) 2(b) 1(c) 3(d) 0Correct Answer: (a) 2Solution:40. If 𝑥 = √10 + √11, y = √10 − √11, then the value of 7𝑥² - 50𝑥y + 7y² _______ . [SSC CHSL 08/06/2022 (Morning)](a) 344(b) 704(c) 1360(d) 386Correct Answer: (a) 344Solution:Submit Quiz« Previous12345Next »