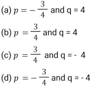
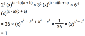
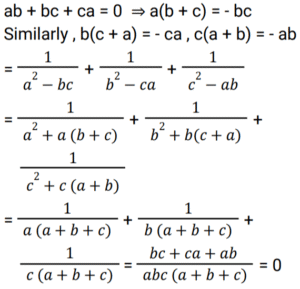
Algebra (SSC) (Part-10)Total Questions: 5041. What is the value of the following expression? [SSC CHSL 08/06/2022 (Afternoon)](a) 1(b) 0(c) 4(d) 9Correct Answer: (a) 1Solution:42. Solve the following equation: [SSC CHSL 08/06/2022 (Afternoon)](a) -11√123(b) 55√5(c) 11√123(d) -55√5Correct Answer: (b) 55√5Solution:43. If 𝑝𝑥³ + 𝑥² + 3𝑥 + q is exactly divisible by (x + 2) and (x - 2), then the values of p and q are: [SSC CHSL 08/06/2022 (Evening)](a)(b)(c)(d)Correct Answer: (d)Solution:44. If 𝑥³ + y³ = 416 and x + y = 8, then find 𝑥⁴ + y⁴ [SSC CHSL 08/06/2022 (Evening)](a) 3002(b) 3204(c) 3004(d) 3104Correct Answer: (d) 3104Solution:45. If 2z = x + y, then the value of : [SSC CHSL 09/06/2022 (Morning)](a) 0(b) 1(c) 2(d) 5Correct Answer: (c) 2Solution:46. If (ab + bc + ca) = 0, then what is the value of : [SSC CHSL 09/06/2022 (Morning)](a) 2(b) 0(c) 1(d) a + b + cCorrect Answer: (b) 0Solution:47. If (x + 2) and (x - 3) are the factors of x² + k₁x + k₂ , then : [SSC CHSL 09/06/2022 (Afternoon)](a) k₁ = 1 and k₂ = -6(b) k₁ = -1 and k₂ = -6(c) k₁ = -1 and k₂ = 6(d) k₁ = 1 and k₂ = 6Correct Answer: (b) k₁ = -1 and k₂ = -6Solution:48. Solve the following equation: [SSC CHSL 09/06/2022 (Afternoon)](a) 8(b) 1(c) 4(d) 2Correct Answer: (a) 8Solution:49. For what value (s) of k will the expression 𝑝 + (1/𝑝) √𝑝 + k² be a perfect square ? [SSC CHSL 10/06/2022 (Afternoon)](a)(b)(c)(d)Correct Answer: (d)Solution:50. If x + y + 3 = 0, then find the value of 𝑥³ + 𝑦³ − 9𝑥𝑦 + 9. [SSC CGL 11/04/2022 (Morning)](a) – 18(b) – 36(c) 18(d) 36Correct Answer: (a) – 18Solution: Submit Quiz« Previous12345