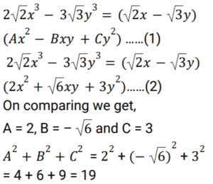
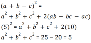
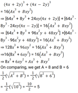
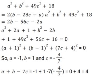
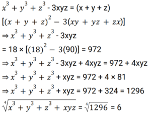
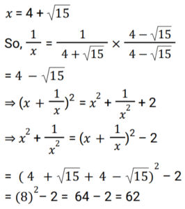
Algebra (SSC) (Part-11)Total Questions: 501. If (4𝑥 + 2𝑦)³ + (4𝑥 - 2𝑦)³ = 16 (A𝑥 + B𝑥y), then what is the value of 1/2√(A² + B²) ? [SSC CGL 11/04/2022 (Afternoon)](a) 8(b) 3(c) 5(d) 7Correct Answer: (c) 5Solution:2. Solve the following equation: [SSC CGL 11/04/2022 (Evening)](a) 48(b) 54(c) 72(d) 62Correct Answer: (d) 62Solution:3. If x + y + z = 11, xy + yz + zx = – 6, and 𝓍³ + y³ + z³ = 1604, then the value of xyz: [SSC CGL 12/04/2022 (Morning)](a) 25(b) 4(c) 1(d) 5Correct Answer: (a) 25Solution:4. If a² + b² + 49c² + 18 = 2 (b - 28c - a) then the value of (a + b - 7c) is [SSC CGL 12/04/2022 (Afternoon)](a) 4(b) 3(c) 2(d) 1Correct Answer: (a) 4Solution:5. Solve the following equation: [SSC CGL 12/04/2022 (Evening)](a)(b)(c)(d)Correct Answer: (a)Solution:6. If x - y + z = 0 then find the value of: [SSC CGL 12/04/2022 (Evening)](a) 3/2(b) 1/2(c) - 6(d) -3/2Correct Answer: (a) 3/2Solution:7. If 2√2𝑥³ - 3√3y³ = (√2𝑥 - √3𝑥) (A𝑥² - B𝑥y + Cy²), then the value of (A² + B² + C²) is: [SSC CGL 13/04/2022 (Afternoon)](a) 16(b) 11(c) 19(d) 18Correct Answer: (c) 19Solution:8. If 𝑥 + 𝑦 + 𝑧 = 18, 𝑥𝑦𝑧 = 81 and 𝑥𝑦 + 𝑦𝑧 + 𝑧𝑥 = 90, then find the value of ⁴√(𝑥³ + 𝑦³ + 𝑧³ + 𝑥𝑦𝑧). [SSC CGL 13/04/2022 (Afternoon)](a) 6(b) 12(c) 9(d) 10Correct Answer: (a) 6Solution:9. If a + b - c = 5 and ab - bc - ac = 10, then find the value of 𝑎² + 𝑏² + 𝑐². [SSC CGL 18/04/2022 (Morning)](a) 40(b) 5(c) 45(d) 15Correct Answer: (b) 5Solution:10. Solve the following equation: [SSC CGL 18/4/2022 (Evening)](a) 531(b) 72(c) 623(d) 527Correct Answer: (d) 527Solution:Submit Quiz12345Next »