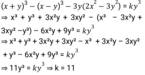
Algebra (SSC) (Part-11)Total Questions: 5011. If a³ + b³ = 218 and a + b = 2, then the value of √(1 - ab) is: [SSC CGL 19/4/2022 (Morning)](a) 5(b) 3(c) 4(d) 6Correct Answer: (d) 6Solution:12. If 𝑥²- 5x - 1 = 0, what is the value of:- [SSC CGL 19/04/2022 (Afternoon)](a) 145(b) 140(c) 130(d) 135Correct Answer: (d) 135Solution:13. If (𝑥 + 𝑦)³ − (𝑥 − 𝑦)³ − 3𝑦(2𝑥² − 3y²) = 𝑘𝑦³ then find the value of 𝑘. [SSC CGL 19/4/2022 (Evening)](a) 10.5(b) 8(c) 11(d) 10Correct Answer: (c) 11Solution:14. Solve the following equation: [SSC CGL 20/04/2022 (Afternoon)](a) 42(b) 44(c) 48(d) 46Correct Answer: (d) 46Solution:15. If a + b + c = 6 , a² + b² + c² = 32, and a³ + b³ + c³ = 189, then the value of 4abc is: [SSC CGL 20/04/2022 (Evening)](a) 12(b) 16(c) 9(d) 8Correct Answer: (a) 12Solution:16. If x⁴ - 79x² + 1= 0, then a value of x + x⁻¹ can be : [SSC CGL 21/04/2022 (Afternoon)](a) 9(b) 5(c) 7(d) 8Correct Answer: (a) 9Solution:17. Solve the following equation: [SSC CGL 21/04/2022 (Evening)](a) 33(b) 18(c) 3(d) 44Correct Answer: (a) 33Solution:18. Solve the following equation: [SSC CGL 21/04/2022 (Evening)](a) 3(b) 47(c) 49(d) 7Correct Answer: (b) 47Solution:19. If a + b + c = 1,ab + bc + ca = − 22 and abc = − 40, then what is the value of 𝑎³ + 𝑏³ + 𝑐³ ? [SSC CGL Tier II (29/01/2022)](a) - 51(b) 27(c) 67(d) - 53Correct Answer: (d) - 53Solution:20. Solve the following equation: [SSC CGL Tier II (29/01/2022)](a) √13/2(b) √17/2(c) 5/2(d) 13/2Correct Answer: (b) √17/2Solution:Submit Quiz« Previous12345Next »