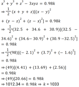
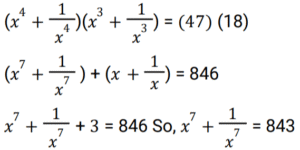
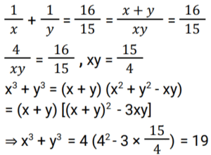
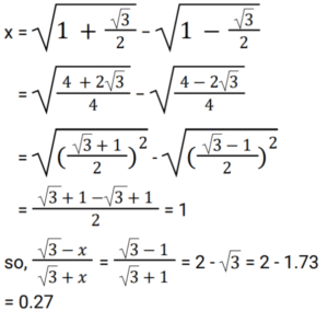
Algebra (SSC) (Part-11)Total Questions: 5021. Solve the following equation: [SSC CGL Tier II (29/01/2022)](a) 7 : 8(b) 4 : 7(c) 7 : 4(d) 8 : 7Correct Answer: (a) 7 : 8Solution: 22. Solve the following equation: [SSC CGL Tier II (29/01/2022)](a) 13/4(b) -(5/4)(c) 9/2(d) 5/2Correct Answer: (a) 13/4Solution:23. Solve the following equation: [SSC CGL Tier II (29/01/2022)] (corrected to two decimal places)(a) 0.25(b) 0.19(c) 0.27(d) 0.17Correct Answer: (c) 0.27Solution:24. Solve the following equation: [SSC CGL Tier II (29/01/2022)](a) 25√7(b) 21√7(c) 27√7(d) 19√7Correct Answer: (d) 19√7Solution:25. If x = 32.5, y = 34.6 and z = 30.9, then the value of 𝓍³ + y³ + z³ - 3𝓍yz is 0.98k, where k is equal to: [SSC CGL Tier II (03/02/2022)](a) 1,033(b) 933(c) 1,026(d) 921Correct Answer: (a) 1,033Solution:26. Solve the following equation: [SSC CGL Tier II (03/02/2022)](a) 749(b) 843(c) 746(d) 849Correct Answer: (b) 843Solution: 27. Solve the following equation: [SSC CGL Tier II (03/02/2022)](a) 5/2(b) 3/4(c) 5/4(d) 3/2Correct Answer: (a) 5/2Solution: 28. If x and y are two numbers having opposite signs, and x² : y² = 16 : 81, then the value of (3𝓍 + 4y)/(2𝓍 - 3y) ? [SSC MTS 05/10/2021 (Morning)](a) 12/25(b) -(27/40)(c) -(24/35)(d) 48/35Correct Answer: (c) -(24/35)Solution:29. If (11𝒶³ - 15b³) : (10𝒶³ + 4b³) = 5 : 7, then (9a + 5b) : (5a - 3b) is equal to: [SSC MTS 06/10/2021 (Afternoon)](a) 10 : 7(b) 13 : 5(c) 15 : 4(d) 14 : 9Correct Answer: (c) 15 : 4Solution:30. Solve the following equation: [SSC CGL 13/08/2021 (Morning)](a) 18(b) 19(c) 21(d) 16Correct Answer: (b) 19Solution:Submit Quiz« Previous12345Next »