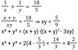
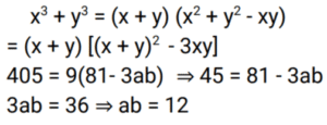
Algebra (SSC) (Part-11)Total Questions: 5031. Solve the following equation: [SSC CGL 13/08/2021 (Afternoon)](a) 1331(b) 1115(c) 1105(d) 1307Correct Answer: (b) 1115Solution:32. If 16x² + y² = 48 and xy = 2, x, y > 0, then the value of (64x³ + y³) is: [SSC CGL 13/08/2021 (Afternoon)](a) 320(b) 340(c) 300(d) 240Correct Answer: (a) 320Solution:33. Solve the following equation: [SSC CGL 13/08/2021 (Afternoon)](a) 41/45(b) 45/41(c) 45/49(d) 49/45Correct Answer: (c) 45/49Solution:34. Solve the following equation: [SSC CGL 13/08/2021 (Evening)](a) 6(b) - 6(c) - 5(d) 5Correct Answer: (d) 5Solution:35. Solve the following equation: [SSC CGL 13/08/2021 (Evening)](a) 3(b) 119(c) 47(d) - 1Correct Answer: (c) 47Solution:36. If a³ + b³ = 405 and a + b = 9, then the value of ab is: [SSC CGL 16/08/2021 (Morning)](a) 15(b) 10(c) 12(d) 8Correct Answer: (c) 12Solution:37. Solve the following equation: [SSC CGL 16/08/2021 (Morning)](a) 184(b) 328(c) 180(d) 220Correct Answer: (a) 184Solution:38. Solve the following equation: [SSC CGL 16/08/2021 (Afternoon)](a) 15(b) 17(c) 11(d) 19Correct Answer: (b) 17Solution:39. Solve the following equation: [SSC CGL 16/08/2021 (Afternoon)](a) 215(b) - 215(c) 35(d) - 35Correct Answer: (a) 215Solution:40. Solve the following equation: [SSC CGL 16/08/2021 (Evening)] (a)(b)(c)(d)Correct Answer: (a)Solution:Submit Quiz« Previous12345Next »