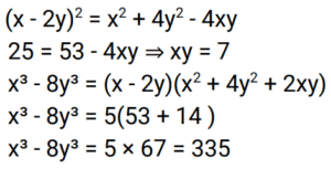
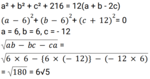
Algebra (SSC) (Part-11)Total Questions: 5041. If x² + 4y² = 53 and x - 2y = 5, then what is the value of x³ - 8y³ ? [SSC CGL 16/08/2021 (Evening)](a) - 85(b) 335(c) 155(d) 85Correct Answer: (b) 335Solution:42. If a² + c² + 17 = 2(a - 8b - 2b²), then what is the value of (a³ + b³ + c³)? [SSC CGL 17/08/2021 (Morning)](a) 9(b) - 7(c) 10(d) - 4Correct Answer: (b) - 7Solution:43. Solve the following equation: [SSC CGL 17/08/2021 (Evening)](a) 0(b) 1(c) - 2(d) 2Correct Answer: (a) 0Solution:44. If x² + 9y² + 4z² = 12(x - 2y + 2z) - 88, then the value of (x - 3y + z) is: [SSC CGL 17/08/2021 (Evening)](a) 10(b) 13(c) 11(d) 5Correct Answer: (b) 13Solution:45. Simplify the following expression. [SSC CGL 18/08/2021 (Morning)](a) 15/8(b) 3/4(c) 3/2(d) 27/28Correct Answer: (c) 3/2Solution:46. Simplify the following expression. [SSC CGL 18/08/2021 (Afternoon)] (a)(b)(c)(d)Correct Answer: (b)Solution:47. Simplify the following expression. [SSC CGL 18/08/2021 (Afternoon)](a) 5(b) -15(c) 15(d) 75Correct Answer: (c) 15Solution:48. If a³ - b³ = 2349 and (a - b) = 9, then (a + b)² - ab is equal to: [SSC CGL 18/08/2021 (Evening)](a) 261(b) 280(c) 229(d) 244Correct Answer: (a) 261Solution:49. If a + b + c = 0, then what is the value of: [SSC CGL 18/08/2021 (Evening)](a) 1(b) - 3(c) -1(d) 3Correct Answer: (d) 3Solution:50. If a² + b² + c² + 216 = 12(a + b - 2c), then √(ab - bc - ca) is: [SSC CGL 20/08/2021 (Morning)](a) 6√5(b) 4√5(c) 3√5(d) 8√5Correct Answer: (a) 6√5Solution:Submit Quiz« Previous12345