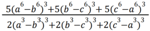
Algebra (SSC) (Part-12)Total Questions: 511. If (56β7π₯Β³ β 2β2π¦Β³) Γ· (2β7π₯ β β2y) = π΄π₯Β² + π΅π¦Β² β πΆπ₯π¦, then find the value of π΄ + π΅ β 14βπΆ. [SSC CGL 20/08/2021 (Afternoon)](a) 19(b) 10(c) 58(d) 38Correct Answer: (c) 58Solution:2. If x - y = 4 and xΒ³ - yΒ³ = 316, y > 0 then the value of π₯β΄ β π¦β΄ is: [SSC CGL 20/08/2021 (Evening)](a) 2482(b) 2320(c) 2500(d) 2401Correct Answer: (b) 2320Solution:3. If 8 + 2pxΒ² - 36x - 27xΒ³ = (2 - 3x)Β³ , then what is the value of p? [SSC CGL 23/08/2021 (Morning)](a) 27(b) 54(c) 9(d) - 27Correct Answer: (a) 27Solution:4. Solve the equation: [SSC CGL 23/08/2021 (Morning)] (a)(b)(c)(d)Correct Answer: (b)Solution:5. Solve the following equation: [SSC CGL 23/08/2021 (Morning)](a) 9/4(b) 3/2(c) 8/3(d) 15/4Correct Answer: (d) 15/4Solution:6. If 9(aΒ² + bΒ²) + cΒ² + 20 = 12 (a + 2b), then the value of β(6a + 9b + 2c) is: [SSC CGL 23/08/2021 (Evening)](a) 3(c) 2(d) 6(b) 4Correct Answer: (b) 4Solution:7. If 2x + 3y + 1 = 0, then what is the value of (8xΒ³ + 8 + 27yΒ³ - 18xy) ? [SSC CGL 24/08/2021 (Morning)](a) 7(b) - 9(c) - 7(d) 9Correct Answer: (a) 7Solution:8. Simplify the following expression. [SSC CGL 24/08/2021 (Afternoon)] (a)(b)(c)(d)Correct Answer: (a)Solution:9. If y = 2x + 1, then what is the value of (8xΒ³ - yΒ³ + 6xy)? [SSC CGL 24/08/2021 (Afternoon)](a) -15(b) 1(c) -1(d) 15Correct Answer: (c) -1Solution:10. Given that xβΈ - 34xβ΄ +1 = 0, x > 0. What is the value of (xΒ³ - xΒ³) ? [SSC CGL 24/08/2021 (Evening)](a) 12(b) 14(c) 18(d) 16Correct Answer: (b) 14Solution:Submit Quiz123456Next »