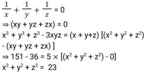
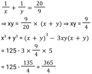
Algebra (SSC) (Part-12)Total Questions: 5111. If ๐ฅโด + ๐ฆโด + ๐ฅยฒ๐ฆยฒ = 117 and ๐ฅยฒ + ๐ฆยฒ - ๐ฅ๐ฆ = 3(4 + โ3), then the value of (๐ฅยฒ + ๐ฆยฒ) will be: [SSC CHSL 12/04/2021 (Morning)](a) 9(b) 6โ3(c) 12(d) 13โ3Correct Answer: (c) 12Solution:12. Solve the following equation. [SSC CHSL 12/04/2021 (Evening)](a) 3479(b) 4379(c) 4370(d) 4279Correct Answer: (b) 4379Solution:13. If ๐ฅ โ ๐ฆ โ ๐ง = 0, then the value of (๐ฅยฒ + ๐ฆยฒ + ๐งยฒ ) รท (๐ฆยฒ + ๐ง๐ฅ) is: [SSC CHSL 12/04/2021 (Evening)](a) - 1(b) 2(c) - 2(d) 1Correct Answer: (b) 2Solution:14. Given that (2๐ฅ + ๐ฆ)ยณ โ (๐ฅ + 2๐ฆ)ยณ = (๐ฅ โ ๐ฆ) [๐ด(๐ฅยฒ + ๐ฆยฒ) + ๐ต๐ฅ๐ฆ], then the value of (2A - B) is: [SSC CHSL 13/04/2021 (Afternoon)](a) 7(b) 6(c) 0(d) 1Correct Answer: (d) 1Solution:15. If xยณ + yยณ = 468 and x + y = 12, then the value of xโด + yโด will be: [SSC CHSL 13/04/2021 (Evening)](a) 3620(b) 2036(c) 3025(d) 3026Correct Answer: (d) 3026Solution:16. If aยฒ + bยฒ + cยฒ + 170 = 2(8a + 5b - 9c), then the value of โ(4a + 8b - c) will be. [SSC CHSL 13/04/2021 (Evening)](a) 15(b) 12(c) 9(d) 8Correct Answer: (c) 9Solution:17. Solve the following equation: [SSC CHSL 15/04/2021 (Morning)](a) 24(b) 23(c) 22(d) 21Correct Answer: (b) 23Solution:18. Solve the following equation: [SSC CHSL 15/04/2021 (Morning)](a) 205/4(b) 635/8(c) 635/4(d) 365/4Correct Answer: (d) 365/4Solution:19. If (7x + 3)ยณ + (x - 2)ยณ + 27(2x - 5)ยณ = 9(7x + 3) (x - 2) (2x - 5) then the value of 5x + 3 is: [SSC CHSL 15/04/2021 (Morning)](a) 8(b) 6(c) 10(d) 2Correct Answer: (a) 8Solution:20. Solve the following equation: [SSC CHSL 16/04/2021 (Morning)](a) 44(b) 94(c) 50(d) 90Correct Answer: (d) 90Solution:Submit Quiz« Previous123456Next »