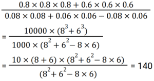
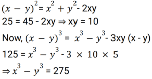
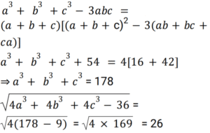
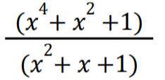
Algebra (SSC) (Part-12)Total Questions: 5121. Solve the following equation: [SSC CHSL 16/04/2021 (Morning)](a) 12(b) 22(c) 14(d) 10Correct Answer: (d) 10Solution:22. If 𝑎² + 4𝑏² + 25𝑐² + 18 = 2(𝑎 - 2𝑏 +20𝑐), then what is the value of (a + 2b + 5c) ? [SSC CHSL 16/04/2021 (Afternoon)](a) 3(b) 4(c) 6(d) 5Correct Answer: (b) 4Solution:23. Simplify the following expression. [SSC CHSL 16/04/2021 (Evening)](a) 14(b) 1.4(c) 140(d) 160Correct Answer: (c) 140Solution:24. If 𝑥² + 𝑦² = 45 and x - y = 5 then what is the value of 𝑥³ + 𝑦³ ? [SSC CHSL 16/04/2021 (Evening)](a) 150(b) 250(c) - 25(d) 275Correct Answer: (d) 275Solution:25. If a + b + c = 4, ab + bc + ca = - 14 and abc = - 18, then the value of √(4a³ + 4b³ + 4c³ - 36) will be: [SSC CHSL 19/04/2021 (Evening)](a) 26(b) 24(c) 25(d) 18Correct Answer: (a) 26Solution:26. Using algebraic identities, simplify the following expression. [SSC CHSL 04/08/2021 (Morning)](a) (𝑥² - 2𝑥 + 1)(b) (𝑥² + 𝑥 + 1)(c) (𝑥² + 2𝑥 + 1)(d) (𝑥² - 𝑥 + 1)Correct Answer: (d) (𝑥² - 𝑥 + 1)Solution:27. If a + b = p, ab = q the (a⁴ + b⁴) is equal to : [SSC CHSL 04/08/2021 (Morning)](a) 𝑝⁴ - 2𝑝²𝑞² + 2𝑞²(b) 𝑝⁴ - 4𝑝²𝑞² + 2𝑞²(c) 𝑝⁴ - 4𝑝²𝑞 + 𝑞²(d) 𝑝⁴ - 4𝑝²𝑞 + 2𝑞²Correct Answer: (d) 𝑝⁴ - 4𝑝²𝑞 + 2𝑞²Solution:28. Solve the following equation: [SSC CHSL 04/08/2021 (Afternoon)](a) 2270(b) 2502(c) 2702(d) 2712Correct Answer: (c) 2702Solution:29. If x² + 1 - 2x = 0, x > 0, then x²(x² - 2) = _____. [SSC CHSL 04/08/2021 (Evening)](a) 1(b) √2(c) -1(d) 0Correct Answer: (c) -1Solution:30. Solve the following equation: [SSC CHSL 05/08/2021 (Morning)](a) √3/2(b) 2√3(c) √3(d) √3/3Correct Answer: (c) √3Solution:Submit Quiz« Previous123456Next »