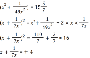
Algebra (SSC) (Part-12)Total Questions: 5131. If 9๐ฅยฒ โ 6๐ฅ + 1 = 0, then the value of 27๐ฅยณ + (27๐ฅยณ)โปยน will be: [SSC CHSL 05/08/2021 (Afternoon)](a) 8(c) 2(b) 4(d) 1Correct Answer: (c) 2Solution:32. Solve the following equation: [SSC CHSL 05/08/2021 (Afternoon)](a) 3/2(b) 1/2(c) 7/2(d) 5/2Correct Answer: (c) 7/2Solution:33. If a + b = 24 and aยฒ + bยฒ = 306, where a > b, then the value of 4a - 5b is: [SSC CHSL 05/08/2021 (Evening)](a) 18(b) 20(c) 12(d) 15Correct Answer: (d) 15Solution:34. If a + b - c = 0, then what is the value of: [SSC CHSL 06/08/2021 (Morning)](a) 1/2(b) -3/4(c) -1/2(d) 3/4Correct Answer: (b) -3/4Solution:35. Simplify the following expression: [SSC CHSL 06/08/2021 (Morning)](2๐ - ๐ - 3๐)(4๐ยฒ + ๐ยฒ + 9๐ยฒ + 2๐๐ + 6๐๐ - 3๐๐)(a) โ 8๐ยณ + ๐ยณ + 27๐ยณ(b) 8๐ยณ + ๐ยณ + 27๐ยณ(c) 8๐ยณ โ ๐ยณ โ 27๐ยณ โ 18๐๐๐(d) 8๐ยณ - ๐ยณ - 27๐ยณ + 18๐๐๐Correct Answer: (c) 8๐ยณ โ ๐ยณ โ 27๐ยณ โ 18๐๐๐Solution:36. Solve the following equation: [SSC CHSL 06/08/2021 (Afternoon)](a) 7(b) ยฑ7(c) ยฑ4(d) 4Correct Answer: (c) ยฑ4Solution:37. If (3x + 2y)ยณ + (3x - 2y)ยณ = 3kx(3xยฒ + 4yยฒ), then the value of k will be: [SSC CHSL 09/08/2021 (Morning)](a) 18(b) 9(c) 3(d) 6Correct Answer: (d) 6Solution:38. If ๐ฅ + ๐ฆ = 27 ๐๐๐ ๐ฅยฒ + ๐ฆยฒ = 425 then the value of (๐ฅ - ๐ฆยฒ) will be : [SSC CHSL 09/08/2021 (Afternoon)](a) 225(b) 169(c) 121(d) 144Correct Answer: (c) 121Solution:39. Solve the following equation: [SSC CHSL 10/08/2021 (Morning)](a) 237.6(b) 376.2(c) 273.6(d) 367.2Correct Answer: (a) 237.6Solution:40. If 2x + 3y + 4z = 11, 8xยณ + 27yยณ + 64zยณ = 105, and xyz = 1, then the value of 4xยฒ + 9yยฒ + 16zยฒ - 6xy - 12yz - 8xz is: [SSC CHSL 10/08/2021 (Afternoon)](a) 3(b) 4(c) 5(d) 6Correct Answer: (a) 3Solution:Submit Quiz« Previous123456Next »