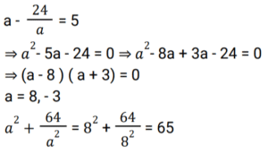
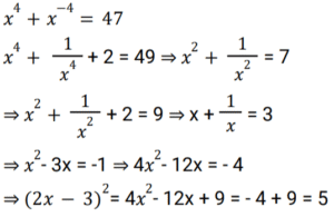
Algebra (SSC) (Part-12)Total Questions: 5141. If (𝑥 − 1.5)³ + (𝑥 − 4)³ + (𝑥 − 3.5)³ = 3(𝑥 − 1.5)(𝑥 − 4) (𝑥 − 3.5), then what is the value of x ? [SSC CHSL 10/08/2021 (Evening)](a) 1(b) 3(c) 6(d) 9Correct Answer: (b) 3Solution:42. If 𝑥⁴ + 𝑥⁻⁴ = 47, 𝑥 > 0, then the value of (2𝑥 - 3)² is: [SSC CHSL 11/08/2021 (Morning)](a) 9(b) 3(c) 5(d) 7Correct Answer: (c) 5Solution:43. If 𝑎²+ 𝑏² + 𝑐² + 48 = 8(𝑎 + 𝑏 + 𝑐), then the value of ³√(𝑎³ - 𝑏³ - 𝑐³) ? [SSC CHSL 11/08/2021 (Morning)](a) 6(b) 4(c) 3(d) 2Correct Answer: (b) 4Solution:44. Solve the following equation: [SSC CHSL 11/08/2021 (Afternoon)](a) 45(b) 56(c) 60(d) 65Correct Answer: (d) 65Solution:45. If 3x - 2y + 3 = 0 , then what will be the value of 27𝑥³ + 54𝑥𝑦 + 30 − 8𝑦³ ? [SSC CHSL 12/08/2021 (Morning)](a) - 27(b) 57(c) - 57(d) 3Correct Answer: (d) 3Solution:46. Solve the following equation: [SSC CHSL 12/08/2021 (Afternoon)](a) 693(b) 649(c) 635(d) 639Correct Answer: (d) 639Solution:47. Solve the following equation: [SSC CHSL 12/08/2021 (Evening)](a) 9 − 8√3(b) 21 − 12√3(c) 21 − 8√3(d) 17 − 8√3Correct Answer: (c) 21 − 8√3Solution:48. If 𝑎² + 𝑏² + 𝑐² + 216 = 12 × (𝑎 + 𝑏 + 2𝑐) then √𝑎𝑏 - 𝑏𝑐 - 𝑐𝑎 is: [SSC CPO 23/11/2020 (Morning)](a) 6(b) 4(c) 3(d) 8Correct Answer: (a) 6Solution:49. The value of: [SSC CPO 23/11/2020 (Evening)](a) - 3(b) 3(c) 0(d) - 1Correct Answer: (b) 3Solution:50. If 𝑥² + 8𝑦² − 12𝑦 − 4𝑥𝑦 + 9 = 0, then the value of (7x - 8y) is: [SSC CPO 23/11/2020 (Evening)](a) 12(b) 5(c) 9(d) 21Correct Answer: (c) 9Solution:Submit Quiz« Previous123456Next »