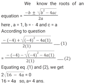
Algebra (SSC) (Part-2)Total Questions: 5011. If šĀ² - 3x - 1 = 0, then the value of (šĀ² + 8x - 1) (šĀ³ + šā»Ā¹)ā»Ā¹ is: [SSC CGL 07/06/2019 (Afternoon)](a) 3/8(b) 8(c) 1(d) 3Correct Answer: (c) 1Solution:12. If x = 2 - p , then šĀ³ + 6šp + p³, is equal to : [SSC CGL 07/06/2019 (Morning)](a) 12(b) 6(c) 8(d) 4Correct Answer: (c) 8Solution:13. If 2šĀ² + y² + 6x - 2xy + 9 = 0, then the value of 4šĀ³ - y³ + šĀ²y² is: [SSC CGL 06/06/2019 (Afternoon)](a) 0(b) 9(c) - 3(d) - 9Correct Answer: (a) 0Solution:14. Solve the following equation: [SSC CGL 06/06/2019 (Morning)](a) 72(b) 56(c) 84(d) 80Correct Answer: (a) 72Solution:15. If x + y = 1 and xy(xy - 2) = 12, then the value of šā“ + yā“ is: [SSC CGL 04/06/2019 (Evening)](a) 19(b) 25(c) 20(d) 23Correct Answer: (b) 25Solution:16. If 16šĀ² + 9y² + 4z² = 24(x - y + z) - 61, then the value of (xy + 2z) is: [SSC CGL 04/06/2019 (Afternoon)](a) 1(b) 2(c) 3(d) 5Correct Answer: (d) 5Solution: 17. Solve the following equation: [SSC CGL 04/06/2019 (Morning)](a) 10(b) 9(c) 15(d) 12Correct Answer: (d) 12Solution: 18. If x + y + z = 19, šĀ² + y² + z² = 133 and xz = y², then the difference between z and x is: [SSC CGL 04/06/2019 (Morning)](a) 5(b) 3(c) 6(d) 4Correct Answer: (a) 5Solution:19. If šā“ + šā»ā“ = 194, š ā» 0 then the value of (š - 2)² is: [SSC CGL 04/06/2019 (Morning)](a) 1(b) 6(c) 2(d) 3Correct Answer: (d) 3Solution:20. If roots of šĀ² - 4x + a = 0 are equal, then a = ? [SSC CPO 16/03/2019 (Evening)](a) - 4(b) 4(c) 8(d) -8Correct Answer: (b) 4Solution: Submit Quiz« Previous12345Next »