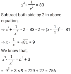
Algebra (SSC) (Part-2)Total Questions: 5041. The solution of the following equations is: [SSC CGL 13/09/2024 (1st Shift)]5x + 4y - 8z = 1 7x - 9y + z = - 1 2x + 3y - 4z = 1(a) x = - 1,y = 1,z = 1(b) x = 1,y = 1,z = 1(c) x = 1,y = - 1,z = 1(d) x = 1,y = 1,z = - 1Correct Answer: (b) x = 1,y = 1,z = 1Solution:42. Solve the following equation: [SSC CGL 13/09/2024 (2nd Shift)] (a)(b)(c)(d)Correct Answer: (a)Solution:43. For which of the following values of a and b do the given equations, have no solution? [SSC CGL 13/09/2024 (2nd Shift)]x - ay = 2 - a (1 - a) x + 6y = a + b(a) a = -3, b ≠ 1(b) a = 3, b ≠-1(c) a = -3, b ≠ -1(d) a = 3, b ≠ 1Correct Answer: (b) a = 3, b ≠-1Solution:44. Solve the following equation: [SSC CGL 13/09/2024 (3rd Shift)](a) a² b²(b) 1- a² b²(c) a²b² + 2(d) a²b² + 1Correct Answer: (d) a²b² + 1Solution:45. For what value of k, the system of equation k𝓍 - 15y + 7 = 0 and 7𝓍 - 21y 19 = 0 NO solution? [SSC CGL 17/09/2024 (1st Shift)](a) 5(b) 12(c) 25(d) 6Correct Answer: (a) 5Solution:46. Solve the following equation: [SSC CGL 17/09/2024 (1st Shift)](a) 884(c) 876(d) 754(d) 756Correct Answer: (d) 756Solution:47. Solve the following equation: [SSC CGL 17/09/2024 (3rd Shift)](a) 63/6(b) 63/8(c) 36/8(d) 32/6Correct Answer: (b) 63/8Solution:48. The sum of five consecutive numbers is 80. Find the largest number. [SSC CGL 18/09/2024 (1st Shift)](a) 18(b) 15(c) 19(d) 14Correct Answer: (a) 18Solution:49. Solve the following equation: [SSC CGL 18/09/2024 (1st Shift)](a) 188(b) 194(c) 186(d) 196Correct Answer: (b) 194Solution:50. If the system of the following equations has the value of the variables as three consecutive integers, then the value of a is ____. [SSC CGL 18/09/2024 (1st Shift)]x - y + z = 2a x + 4y - 2z = 3(4 - a) 2x - 3y + 4z = 6 - 2a(a) 2(b) 4(c) 1(d) 3Correct Answer: (c) 1Solution:Submit Quiz« Previous12345