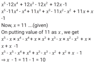
Algebra (SSC) (Part-3)Total Questions: 5031. If 𝓍 = 3y + 4, then what is the value of (𝓍³ - 27y³ - 36𝓍y) ? [SSC CPO 27/06/2024 (2nd Shift)](a) 27(b) 64(c) 16(d) 28Correct Answer: (b) 64Solution:32. Solve the following equation. [SSC CPO 27/06/2024 (3rd Shift)](a) -15(b) 15(c) -10(d) 10Correct Answer: (a) -15Solution:33. Solve the following equation. [SSC CPO 27/06/2024 (3rd Shift)](a) 9(b) 11(c) 12(d) 15Correct Answer: (b) 11Solution:34. If a + 2b + 3c = 0, then what is the value of (a³ + 8b³ + 27c³ ) ? [SSC CPO 28/06/2024 (1st Shift)](a) 18 abc(b) 12 abc(c) 0(d) 6 abcCorrect Answer: (a) 18 abcSolution:35. If x = 110, y = 111, z = 112, then find the value of x³ + y³ + z³ - 3xyz. [SSC CPO 28/06/2024 (1st Shift)](a) 999(b) 991(c) 997(d) 995Correct Answer: (a) 999Solution:36. Solve the following equation. [SSC CPO 28/06/2024 (2nd Shift)](a) ± 3(b) ± 6(c) ± 4(d) ± 2Correct Answer: (b) ± 6Solution:37. The sum of two numbers is 28 and the sum of their squares is 528. Find the square root of the product of both the numbers. [SSC CPO 28/06/2024 (2nd Shift)](a) 8√2(b) 2√2(c) 4√2(d) 6√2Correct Answer: (a) 8√2Solution: 38. Solve the following equation. [SSC CPO 28/06/2024 (3rd Shift)](a) 3(b) 0(c) 2(d) -3Correct Answer: (b) 0Solution:39. If 𝓍 = 11, then the value of (𝓍⁵ - 12𝓍⁴ + 12𝓍³ - 12𝓍² + 12𝓍 - 1) [SSC CPO 28/06/2024 (3rd Shift)](a) 10(b) 8(c) 9(d) 14Correct Answer: (a) 10Solution:40. If a + b + c = 15 and ab + bc + ca = 35 then find the value of a³ + b³ + c³ - 3abc. [SSC CPO 29/06/2024 (1st Shift)](a) 2100(b) 1500(c) 1200(d) 1800Correct Answer: (d) 1800Solution:Submit Quiz« Previous12345Next »