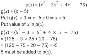
Algebra (SSC) (Part-3)Total Questions: 5041. What must be added to (𝓍³ - 3𝓍² + 4𝓍 - 75) to obtain a polnomial that is exactly divisible by (x - 5) ? [SSC CPO 29/06/2024 (1st Shift)](a) 5(b) 6(c) 4(d) 2Correct Answer: (a) 5Solution:42. If a + b + c = 13 and ab + bc + ca = 22, then the value of a³ + b³ + c³ - 3abc is ______. [SSC CPO 29/06/2024 (2nd Shift)](a) 1911(b) 1225(c) 1625(d) 1339Correct Answer: (d) 1339Solution:43. If 𝓍² + 4y² + 2𝓍 + 1 = 0, then find the value of 𝓍³⁹ + y³⁶ [SSC CPO 29/06/2024 (2nd Shift)](a) -1(b) -2(c) 2(d) 1Correct Answer: (a) -1Solution:44. Solve the following equation: [SSC CPO 29/06/2024 (3rd Shift)](a) 30(b) 32(c) 28(d) 34Correct Answer: (a) 30Solution:45. Solve the following equation: [SSC CPO 29/06/2024 (3rd Shift)](a) - 1(b) -2√3(c) 1(d) 2√3Correct Answer: (c) 1Solution: 46. Solve the following equation: [SSC CPO 29/06/2024 (3rd Shift)](a) 2(b) -2(c) √2(d) -√2Correct Answer: (b) -2Solution:47. If x³ = 184 + y³ and x = 4 + y, then the value of (x + y) is (given that x > 0 and y > 0): [Higher Secondary 21/06/2024 (Shift - 2)](a) -2√11(b) 2√14(c) -2√14(d) 2√11Correct Answer: (b) 2√14Solution:48. Simplify the following. [Higher Secondary 21/06/2024 (Shift - 2)](𝓍 - 3y)³ + 27 (y³ - 𝓍y²)(a) 𝓍³ - 3𝓍²y(b) 𝓍³ - 27y³ - 9𝓍²y(c) 𝓍³ - 27y³ - 9𝓍²y + 27𝓍y² + 27y² - 27y²(d) 𝓍³ - 9𝓍²yCorrect Answer: (d) 𝓍³ - 9𝓍²ySolution:49. Solve the following equation: [Higher Secondary 24/06/2024 (Shift - 2)](a) 2.00(b) 3.25(c) 2.50(d) 1.75Correct Answer: (d) 1.75Solution:50. Solve the following equation: [Higher Secondary 24/06/2024 (Shift - 2)](a) 343/610(b) 420/343(c) 610/420(d) 610/343Correct Answer: (d) 610/343Solution: Submit Quiz« Previous12345