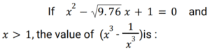
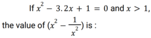
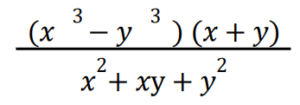
Algebra (SSC) (Part-5)Total Questions: 5011. Solve the following equation. [SSC CHSL 10/08/2023 (2nd Shift)](a) 9(b) 16(c) 4(d) 1Correct Answer: (a) 9Solution:12. If 2𝑥 + 5𝑦 = 15 and 𝑥𝑦 = 6, then the value of 4𝓍² + 25y² is_______ . [SSC CHSL 10/08/2023 (3rd Shift)](a) 105(b) 95(c) 100(d) 90Correct Answer: (a) 105Solution:13. Solve the following equation: [SSC CHSL 10/08/2023 (3rd Shift)](a) 21.042(b) 24.024(c) 21.024(d) 24.042Correct Answer: (c) 21.024Solution:14. Solve the following equation: [SSC CHSL 10/08/2023 (4th Shift)](a) 158(b) 157(c) 185(d) 175Correct Answer: (c) 185Solution:15. Simplify the given expression. [SSC CHSL 10/08/2023 (4th Shift)](a) х - у(b) x² - y²(c) x + y(d) x² + y²Correct Answer: (b) x² - y²Solution:16. If (a + b + c) = 17, and (a² + b² + c²) = 115, find then value of (a + b)² + (b + c)² + (c + a)². [SSC CHSL 11/08/2023 (2nd Shift)](a) 402(b) 408(c) 394(d) 404Correct Answer: (d) 404Solution:17. Simplify : (2a - 3b - c)² - (a + 2b + c)² [SSC CHSL 11/08/2023 (2nd Shift)](a) 3a² + 5b² - 16ab + 2bc - 8ac(b) 3a² + 5b² - 8ab + 2bc - 6ac(c) 3a² + 5b² - 16ab - 6ac(d) 3a² + 5b² - 16ab + 2bc - 6acCorrect Answer: (d) 3a² + 5b² - 16ab + 2bc - 6acSolution:18. Solve the following equation: [SSC CHSL 11/08/2023 (3rd Shift)](a) 16.8√0.39(b) 12.8√0.39(c) 16.8√0.32(d) 12.8√0.32Correct Answer: (b) 12.8√0.39Solution:19. If 𝓍² + y² + z² = 2(𝓍 + z - 1), then the value of 𝓍³ + y³ + z³ is equal to: [SSC CHSL 11/08/2023 (3rd Shift)](a) 6(b) 1(c) 2(d) 8Correct Answer: (c) 2Solution:20. If x + 3y = 6, what is the value of x³ + 27y³ + 54xy? [SSC CHSL 14/08/2023 (1st Shift)](a) 264(b) 258(c) 216(d) 220Correct Answer: (c) 216Solution:Submit Quiz« Previous12345Next »