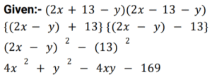
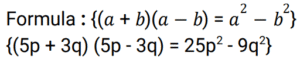
Algebra (SSC) (Part-5)Total Questions: 5021. If p + q = 12 and pq = 14, then find the value of p² - pq + q². [SSC CHSL 14/08/2023 (3rd Shift)](a) 192(b) 181(c) 102(d) 144Correct Answer: (c) 102Solution:22. Simplify the given expression, [SSC CHSL 14/08/2023 (3rd Shift)](a) 3x(b) x(c) 4x(d) 2xCorrect Answer: (d) 2xSolution:23. Simplify the expression: [SSC CHSL 14/08/2023 (4th Shift)] (a)(b)(c)(d)Correct Answer: (a)Solution:24. If (d + e + f) = 14, (d² + e² + f²) = 96, then find the value of (de + ef + fd). [SSC CHSL 17/08/2023 (1st Shift)](a) 75(b) 25(c) 50(d) 100Correct Answer: (c) 50Solution:25. If g = (2 - √3), what will be the value of (g³ - 1/(g³) ? [SSC CHSL 17/08/2023 (1st Shift)](a) -30√3(b) 52(c) 30√3(d) -52Correct Answer: (a) -30√3Solution:26. Simplify the expression: [SSC CHSL 17/08/2023 (1st Shift)](2𝑥 + 13 - y) (2𝑥 - 13 - y)(a) 4𝑥² - 𝑦² − 4𝑥𝑦 − 169(b) 4𝑥² + 𝑦² + 4𝑥𝑦 − 169(c) 4𝑥² + 𝑦² − 4𝑥𝑦 − 169(d) 4𝑥² + 𝑦² − 4𝑥𝑦 + 169Correct Answer: (c) 4𝑥² + 𝑦² − 4𝑥𝑦 − 169Solution:27. Simplify: [SSC CHSL 17/08/2023 (2nd Shift)](3x- 2y) (3x +2y) (9x² + 4y²)(a) 81x⁴ + 16y⁴(b) 81y⁴ - 16x⁴(c) 81y⁴ + 16x⁴(d) 81x⁴ - 16y⁴Correct Answer: (d) 81x⁴ - 16y⁴Solution:28. Simply the given expression : [SSC CHSL 17/08/2023 (2nd Shift)](5p + 3q) (5p - 3q).(a) 25p² - 9q² + 30pq(b) 25p² - 9q²(c) 25p² + 9q²(d) 25p² + 9q² - 30pqCorrect Answer: (b) 25p² - 9q²Solution:29. Solve the following equation: [SSC CHSL 17/08/2023 (2nd Shift)](a) 40(b) 50(c) 65(d) 30Correct Answer: (d) 30Solution:30. If 3x - 2y= 3 and xy = 9, then find the value of 3x + 2y. [SSC CHSL 17/08/2023 (4th Shift)](a) 16(b) 13(c) 14(d) 15Correct Answer: (d) 15Solution:Submit Quiz« Previous12345Next »