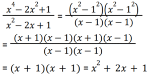
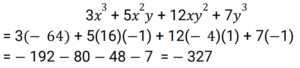
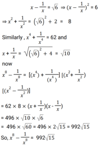
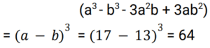
Algebra (SSC) (Part-5)Total Questions: 5031. Solve the following equation: [SSC CHSL 17/08/2023 (4th Shift)](a) 2(b) 3(c) 0(d) 1Correct Answer: (d) 1Solution:32. Solve the following equation: [SSC CGL 14/07/2023 (1st shift)](a) 80/49(b) 104/7(c) 120/7(d) 7/2Correct Answer: (c) 120/7Solution:33. What is the value of (3𝓍³ + 5𝓍²y + 12𝓍y² + 7y³), when x = -4 and y = -1? [SSC CGL 14/07/2023 (1st shift)](a) -329(b) -359(c) -361(d) -327Correct Answer: (d) -327Solution:34. If (a + b + c) = 16, and (a² + b² + c²) = 90, find the value of (ab + bc + ca). [SSC CGL 14/07/2023 (1st shift)](a) 84(b) 83(c) 82(d) 81Correct Answer: (b) 83Solution:35. What is the value of a³ + b³ + c³ , if (a + b + c) = 0 ? [SSC CGL 14/07/2023 (2nd shift)](a) a²+ b² + c² - 3abc(b) 0(c) 3abc(d) a² + b² + c² - ab - bc - caCorrect Answer: (c) 3abcSolution:36. Solve the following equation: [SSC CGL 14/07/2023 (3rd shift)](a) 113682(b) 103682(c) 103882(d) 103862Correct Answer: (b) 103682Solution:37. If a = 17, b = 13, then find the value of the expression (a³ - b³ - 3a²b + 3ab²). [SSC CGL 14/07/2023 (4th shift)](a) -64(b) -27000(c) 27000(d) 64Correct Answer: (d) 64Solution:38. Simplify, (𝓍⁴ - 2𝓍² + 1)/(𝓍² - 2𝓍² + 1). [SSC CGL 17/07/2023 (2nd shift)](a) 𝓍² - 2𝓍 + 1(b) 𝓍² + 2𝓍 + 2(c) 𝓍² + 2𝓍 + 1(d) 𝓍² + x + 1Correct Answer: (c) 𝓍² + 2𝓍 + 1Solution:39. Solve the following equation: [SSC CGL 17/07/2023 (2nd shift)](a) 1024√15(b) 992√15(c) 998√15(d) 1012√15Correct Answer: (b) 992√15Solution:40. What is the value of the given expression?(a + b + c)² - a² - b² - c² [SSC CGL 17/07/2023 (3rd shift)](a) 2abc(b) 2(ab + bc + ca)(c) 2(a + b + c)(d) 2ab + bc - 2caCorrect Answer: (b) 2(ab + bc + ca)Solution:Submit Quiz« Previous12345Next »