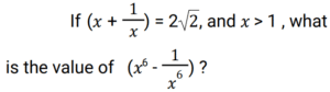
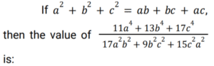
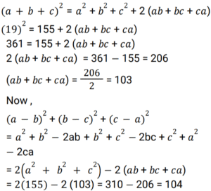
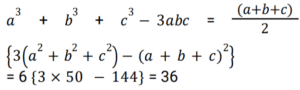
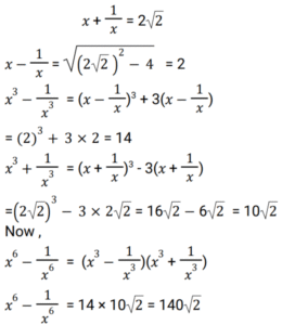
Algebra (SSC) (Part-5)Total Questions: 5041. Solve the following equation? [SSC CGL 17/07/2023 (4th shift)](a) 23/7(b) 24/9(c) 50/3(d) 100/7Correct Answer: (c) 50/3Solution:42. The cube of the difference between two given natural numbers is 1728, while the product of these two given numbers is 108. Find the positive difference between the cubes of these two given numbers. [SSC CGL 18/07/2023 (1st shift)](a) 4104(b) 5616(c) 2160(d) 5626Correct Answer: (b) 5616Solution:43. If (a + b + c) = 19, and (a² + b² + c²) = 155, find the value of (a - b)² + (b - c)² + (c - a)². [SSC CGL 18/07/2023 (2nd shift)](a) 104(b) 108(c) 100(d) 98Correct Answer: (a) 104Solution:44. Solve the following equation: [SSC CGL 18/07/2023 (3rd shift)](a) 1(b) 2(c) 11(d) 4Correct Answer: (a) 1Solution:45. The square of the difference between two given natural numbers is 324, while the product of these two given numbers is 144. Find the positive difference between the squares of these two given numbers. [SSC CGL 18/07/2023 (3rd shift)](a) 630(b) 540(c) 450(d) 360Correct Answer: (b) 540Solution:46. Solve the following equation: [SSC CGL 18/07/2023 (4th shift)](a) 200(b) 196(c) 198(d) 188Correct Answer: (c) 198Solution:47. Solve the following equation: [SSC CGL 19/07/2023 (1st shift)](a) 140√2(b) 116√2(c) 144√2(d) 128√2Correct Answer: (a) 140√2Solution:48. If (a + b + c) = 12 , and (a² + b² + c²) = 50, find the value of (a³ + b³ + c³ - 3abc). [SSC CGL 19/07/2023 (2nd shift)](a) 36(b) 24(c) 42(d) 48Correct Answer: (a) 36Solution:49. Solve the following equation: [SSC CGL 19/07/2023 (2nd shift)](a) 47/9(b) 49/9(c) 41/9(d) 43/9Correct Answer: (d) 43/9Solution:50. If x² - 7x + 1 = 0, and 0 < x < 1, what is the value of x² - (1/𝓍²) ? [SSC CGL 19/07/2023 (3rd shift)](a) 21√5(b) -21√5(c) 28√5(d) -28√5Correct Answer: (b) -21√5Solution:Submit Quiz« Previous12345