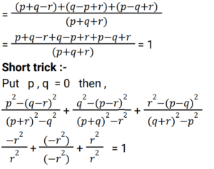
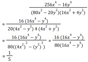
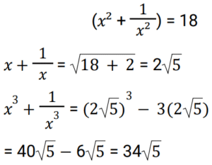
Algebra (SSC) (Part-6)Total Questions: 5011. If (a - b) = 1 then what is the value of (a³ - b³) ? [SSC CGL 21/07/2023 (4th shift)](a) a² + ab + b²(b) (a + b)² + 3ab(c) a² - ab + b²(d) a² + 2ab + b²Correct Answer: (a) a² + ab + b²Solution:12. Simplify the following expression. [SSC CGL 21/07/2023 (4th shift)](a) 36√5(b) 40√5(c) 46√5(d) 34√5Correct Answer: (d) 34√5Solution:13. Solve the following equation: [SSC CGL 24/07/2023 (1st shift)](a) 1(b) 2(c) 0(d) 3Correct Answer: (a) 1Solution: 14. Solve the following equation: [SSC CGL 24/07/2023 (3rd shift)] (a)(b)(c)(d)Correct Answer: (c)Solution:15. Solve this:- [SSC CGL 24/07/2023 (4th shift)](a) 1(b) x + y + z(c) 2(d) 1/2Correct Answer: (a) 1Solution:16. Solve the following equation: [SSC CGL 25/07/2023 (1st shift)](a) 5774(b) 4096(c) 577(d) 5778Correct Answer: (d) 5778Solution:17. If x² - 15x + 1 = 0, what is the value of x⁴ - 223x² + 6? [SSC CGL 25/07/2023 (1st shift)](a) 9(b) 5(c) 6(d) 0Correct Answer: (b) 5Solution:18. Solve the following equation: [SSC CGL 25/07/2023 (2nd shift)](a) 1(b) -1(c) 5(d) -5Correct Answer: (a) 1Solution:19. Simplify: [SSC CGL 25/07/2023 (2nd shift)](a) 5(b) 1/20(c) 1/5(d) 2/5Correct Answer: (c) 1/5Solution:20. Solve it:- [SSC CGL 25/07/2023 (2nd shift)] (a)(b)(c)(d)Correct Answer: (a)Solution:Submit Quiz« Previous12345Next »