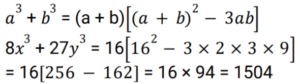
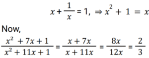
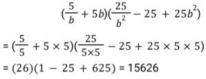
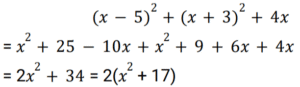
Algebra (SSC) (Part-6)Total Questions: 5021. Simplify the expression: [SSC CGL 25/07/2023 (4th shift)](a)(b)(c)(d)Correct Answer: (a)Solution:22. Solve it- [SSC CGL 26/07/2023 (1st shift)](a) 68(b) 62(c) 64(d) 66Correct Answer: (d) 66Solution:23. Simplify: [SSC CGL 26/07/2023 (1st shift)](a) 24√2(b) -24√2(c) -12√10(d) 12√10Correct Answer: (b) -24√2Solution:24. Simplify: [SSC CGL 26/07/2023 (1st shift)](a) √11(b) √17(c) √15(d) √13Correct Answer: (d) √13Solution:25. Solve the following equation: [SSC CGL 26/07/2023 (2nd shift)](a) 3/4(b) 2/3(c) 1/3(d) 1/4Correct Answer: (b) 2/3Solution:26. Solve the following equation: [SSC CGL 26/07/2023 (3rd shift)](a) 120√3(b) 128√3(c) 112√3(d) 108√3Correct Answer: (c) 112√3Solution: 27. Solve the following equation: [SSC CGL 26/07/2023 (3rd shift)](a) 25726(b) 15626(c) 15438(d) 25636Correct Answer: (b) 15626Solution:28. Simplify: [SSC CGL 26/07/2023 (3rd shift)](a) 10404(b) 10402(c) 10406(d) 10400Correct Answer: (b) 10402Solution:29. Expand and simplify the algebraic expression: (x - 5)² + (x + 3)² + 4x. [SSC CGL 26/07/2023 (4th shift)](a) 2(x² - 17)(b) 2(x² + 17)(c) (x² + 17)(d) 2(x² - 5x + 17)Correct Answer: (b) 2(x² + 17)Solution:30. If 2x + 3y = 16 and xy = 9, then find 8𝓍³ + 27y³. [SSC CGL 27/07/2023 (1st shift)](a) 1980(b) 2980(c) 1504(d) 2189Correct Answer: (c) 1504Solution:Submit Quiz« Previous12345Next »