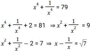
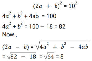
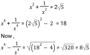
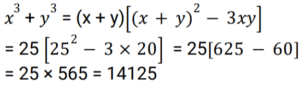
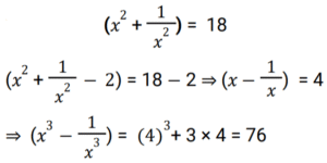
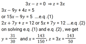
Algebra (SSC) (Part-6)Total Questions: 5031. If x + y = 25 and xy = 20, then find the value of 𝓍³ + y³. [SSC CGL 27/07/2023 (1st shift)](a) 13152(b) 13125(c) 14125(d) 14152Correct Answer: (c) 14125Solution:32. Solve the following equation: [SSC CGL 27/07/2023 (2nd shift)](a) 16√2(b) 8√2(c) 24√2(d) 32√2Correct Answer: (c) 24√2Solution:33. Solve the following equation: [Graduate Level 27/06/2023 (Shift - 4)](a) 52(b) 76(c) 80(d) 64Correct Answer: (b) 76Solution:34. What is the solution to the following system of linear equations? [Graduate Level 28/06/2023 (Shift - 3)]3x - 9y + 4z = 5 2x + 7y + z = 12 3x - z = 0 (a)(b)(c)(d)Correct Answer: (b)Solution:35. If 2a + b = 10 and 2ab = 9, then one of the values of 2a - b is: [Graduate Level 28/06/2023 (Shift - 3)](a) 8(b) 4(c) 6(d) 10Correct Answer: (a) 8Solution:36. Solve the following equation: [Graduate Level 28/06/2023 (Shift - 3)](a) 6√5(b) 4√5(c) 8√5(d) 3√5Correct Answer: (c) 8√5Solution:37. Solve the following equation: [Graduate Level 30/06/2023 (Shift - 1)](a) 2√2(b) √7(c) √11(d) √10Correct Answer: (b) √7Solution:38. If x + y = √13 and x - y = √11, then the value of xy (𝓍² + y²) is: [Graduate Level 30/06/2023 (Shift - 1)](a) 10(b) 6(c) √6(d) √10Correct Answer: (b) 6Solution:39. Solve the following equation: [Graduate Level 30/06/2023 (Shift - 1)](a) 0(b) 1/abc(c) 1(d) abCorrect Answer: (a) 0Solution:40. A varies directly with B. When A = 52, B = 91. Find the value of A when B = 126. [Higher Secondary 27/06/2023 (Shift - 3)](a) 76(b) 84(c) 72(d) 70Correct Answer: (c) 72Solution:Submit Quiz« Previous12345Next »