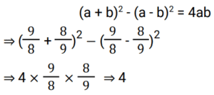
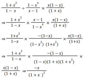
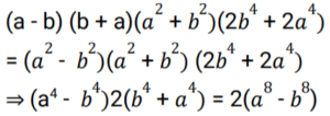
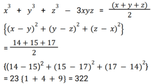
Algebra (SSC) (Part-6)Total Questions: 5041. For what value of q does the system of equations 38x + qy + 171 = 0 and 46x + 414y + 207 = 0 have infinite number of solutions? [Higher Secondary 28/06/2023 (Shift - 2)](a) 380(b) 345(c) 342(d) 350Correct Answer: (c) 342Solution:42. If x = 14, y = 15 and z = 17, then the value of 𝓍³ + y³ + z³ - 3𝓍yz is: [Higher Secondary 28/06/2023 (Shift - 2)](a) 333(b) 322(c) 312(d) 222Correct Answer: (b) 322Solution:43. For what value of p does the system of equations 18x + 36y + 45 = 0 and px - 54y + 67 = 0 have no solution? [Higher Secondary 30/06/2023 (Shift - 2)](a) 54(b) −27(c) −36(d) 27Correct Answer: (b) −27Solution:44. Solve it:- [Higher Secondary 30/06/2023 (Shift - 2)](a) 4(b) 1(c) 8(d) 2Correct Answer: (a) 4Solution:45. What is the value of:- [SSC CHSL 09/03/2023 (1st Shift)] (a)(b)(c)(d)Correct Answer: (c)Solution:46. Solve the following equation: [SSC CHSL 09/03/2023 (2nd Shift)](a) 2(b) 1(c) 0(d) 12Correct Answer: (a) 2Solution:47. Solve the following equation: [SSC CHSL 09/03/2023 (4th Shift)](a) 46(b) 50(c) 52(d) 48Correct Answer: (c) 52Solution:48. What is the value of (a - b) (b + a) (a² + b²) (2b⁴ + 2a⁴) ? [SSC CHSL 10/03/2023 (1st Shift)](a)(b)(c)(d)Correct Answer: (c)Solution:49. Solve the following equation: [SSC CHSL 10/03/2023 (3rd Shift)](a) –60(b) 120(c) 60(d) –120Correct Answer: (c) 60Solution:50. Solve the folowing equation: [SSC CHSL 10/03/2023 (3rd Shift)](a) 6(b) 7(c) 8(d) 10Correct Answer: (a) 6Solution:Submit Quiz« Previous12345