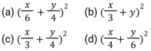
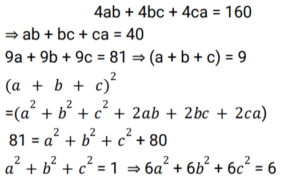
Algebra (SSC) (Part-7)Total Questions: 501. Find the value of p³ - r³. if p + r = 21, and pr = 38. [SSC CHSL 10/03/2023 (4th Shift)](a) 6538(b) 6113(c) 6102(d) 6851Correct Answer: (d) 6851Solution:2. What is the value of (a + b + c) {(a - b)² + (b - c)² + (c - a)²} ? [SSC CHSL 13/03/2023 (1st Shift)](a) 2a³ + 2b³ + 2c³(b) 2a³ + 2b³ + 2c³ - 6abc(c) 3abc(d) 6abcCorrect Answer: (b) 2a³ + 2b³ + 2c³ - 6abcSolution:3. Solve the following equation: [SSC CHSL 13/03/2023 (1st Shift)](a) 4(b) 2(c) 1(d) 0Correct Answer: (d) 0Solution:4. What is the value of: [SSC CHSL 13/03/2023 (2nd Shift)] (a)(b)(c)(d)Correct Answer: (a)Solution:5. What is the expansion of (a - 4)³ ? [SSC CHSL 13/03/2023 (3rd Shift)](a) a³ - 12a² + 48a + 64(b) a³ + 12a² + 48a + 64(c) a³ - 12a² + 48a - 64(c) a³ - 12a² + 48a - 64Correct Answer: (c) a³ - 12a² + 48a - 64Solution:6. If x - y = 8 and 8xy = 8, then what is the value of 2𝓍³ - 2y³ ? [SSC CHSL 13/03/2023 (4th Shift)](a) 536(b) 1092(c) 1072(d) 1608Correct Answer: (c) 1072Solution:7. If a³ = b³ + 988 and a - b = 4, then what is the value of 2a² + 2ab + 2b² ? [SSC CHSL 14/03/2023 (1st Shift)](a) 516(b) 494(c) 500(d) 247Correct Answer: (b) 494Solution: 8. If a³ + 3a² + 3a = 63, then the value of a² + 2a is: [SSC CHSL 14/03/2023 (2nd Shift)](a) 22(b) 19(c) 15(d) 8Correct Answer: (c) 15Solution:9. If a + b + c = 6 and a² + b² + c² = 40. then what is the value of a³ + b³ + c³ - 3abc ? [SSC CHSL 14/03/2023 (3rd Shift)](a) 212(b) 252(c) 232(d) 206Correct Answer: (b) 252Solution:10. If 9a + 9b + 9c = 81 and 4ab + 4bc + 4ca = 160, then what is the value of 6a² + 6b² + 6c² ? [SSC CHSL 14/03/2023 (4th Shift)](a) 1(b) 3(c) 4(d) 6Correct Answer: (d) 6Solution:Submit Quiz12345Next »