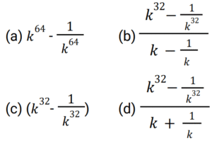
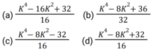
Algebra (SSC) (Part-7)Total Questions: 5011. Solve the following equation. [SSC CHSL 15/03/2023 (1st Shift)](a) -11(b) 9(c) -2(d) 11Correct Answer: (b) 9Solution:12. What is the value of: [SSC CHSL 15/03/2023 (1st Shift)](a) 1(b) 4(c) 8(d) 2Correct Answer: (b) 4Solution:13. What is the value of (a - b)³ - a³ + b³ ? [SSC CHSL 15/03/2023 (2nd Shift)](a) 3ab(a - b)(b) -3ab(a + b)(c) 3ab(a + b)(d) -3ab(a - b)Correct Answer: (d) -3ab(a - b)Solution:14. Compute the expression (299)² using algebraic identities. [SSC CHSL 15/03/2023 (2nd Shift)](a) 89301(b) 89402(c) 88401(d) 89401Correct Answer: (d) 89401Solution:15. Simplify the following equation: [SSC CHSL 15/03/2023 (2nd Shift)] (a)(b)(c)(d)Correct Answer: (d)Solution: 16. Solve the following equation: [SSC CHSL 16/03/2023 (1st Shift)](a)(b)(c)(d)Correct Answer: (a)Solution:17. If (p - q) = 6, ( r - q) = 5 and (r - p) = 3, then find the value of (p³ + q³ + r³ - 3pqr)/(p + q + r). [SSC CHSL 16/03/2023 (2nd Shift)](a) 35(b) 45(c) 30(d) 40Correct Answer: (a) 35Solution:18. Solve the following equation: [SSC CHSL 16/03/2023 (3rd Shift)](a) 0(b) - 1(c) 2(d) 1Correct Answer: (d) 1Solution:19. If (x + 1)² + (x + 2)² = 16, then what is the value of 4x² + 12x + 40 ? [SSC CHSL 16/03/2023 (3rd Shift)](a) 52(b) 62(c) 56(d) 74Correct Answer: (b) 62Solution:20. What is the value of a² + 4b² + 9c² - 4ab + 12bc - 6ca ? [SSC CHSL 16/03/2023 (4th Shift)](a) (a + 2b - 3c)²(b) (2a - b - 3c)²(c) (2b - a - 3c)²(d) (a - 2b - 3c)²Correct Answer: (d) (a - 2b - 3c)²Solution:Submit Quiz« Previous12345Next »