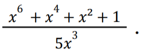
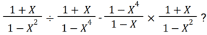
Algebra (SSC) (Part-7)Total Questions: 5021. If a + b + c = 1, ab + bc + ca = -1 and abc = -1, then what is the value of a³ + b³ + c³ ? [SSC CHSL 17/03/2023 (3rd Shift)](a) 3(b) 5(c) 2(d) 1Correct Answer: (d) 1Solution:22. What is the value of (a + b)³ - a³ - b³ ? [SSC CHSL 17/03/2023 (3rd Shift)](a) 3ab(a — b)(b) −3ab(a - b)(c) 3ab(a + b)(d) −3ab(a + b)Correct Answer: (c) 3ab(a + b)Solution:23. Solve the following equation: [SSC CHSL 17/03/2023 (4th Shift)](a) 38(b) 36(c) 40(d) 34Correct Answer: (d) 34Solution:24. What is the value of: [SSC CHSL 20/03/2023 (3rd Shift)] (a)(b)(c)(d)Correct Answer: (b)Solution:25. Solve the following equation: [SSC CHSL 21/03/2023 (1st Shift)](a) 𝓍yz/3(b) 3/𝓍yz(c) 𝓍yz(d) 1/𝓍yzCorrect Answer: (b) 3/𝓍yzSolution:26. Solve the following equation: [SSC CHSL 21/03/2023 (2nd Shift)](a) 472(b) 492(c) 512(d) 488Correct Answer: (d) 488Solution:27. Solve the following equation: [SSC CHSL 21/03/2023 (4th Shift)](a) 4689(b) 4786(c) 5832(d) 5778Correct Answer: (d) 5778Solution:28. For what value of m will the system of equations 18x - 72y + 13 = 0 and 7x - my - 17 = 0 have no solution? [SSC CGL Tier II (06/03/2023)](a) 28(b) 24(c) 9(d) 12Correct Answer: (a) 28Solution:29. If 2ˣ + 3ʸ = 17 and 2ˣ ⁺ ² - 3ʸ ⁺ ¹ = 5, then: [SSC CGL Tier II (07/03/2023)](a) x = 1, y = 3(b) x = 3, y = 3(c) x = 3, y = 2(d) x = 1, y = 2Correct Answer: (c) x = 3, y = 2Solution:30. If x² - 5x + 1 = 0, then the value of: [SSC CGL 01/12/2022 (1st Shift)](a) 30(b) 25(c) 23(d) 28Correct Answer: (c) 23Solution:Submit Quiz« Previous12345Next »