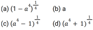
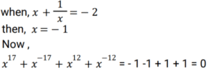
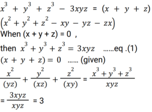
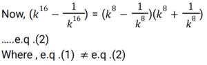
Algebra (SSC) (Part-7)Total Questions: 5041. The factors of x⁴ + x² + 25 are: [SSC CGL 03/12/2022 (1st Shift)](a) (x² + 3x - 5)(x² - 3x + 5)(b) (x² + 3x + 5)(x² - 3x + 5)(c) (x² - 3x + 5)(x² - 3x + 5)(d) (x² + 3x + 5)(x² + 3x + 5)Correct Answer: (b) (x² + 3x + 5)(x² - 3x + 5)Solution:42. Solve the following equation: [SSC CGL 03/12/2022 (2nd Shift)](a) 1(b) √2(c) 2(d) 2√2Correct Answer: (c) 2Solution:43. Solve the following expression: [SSC CGL 03/12/2022 (2nd Shift)](a) - 2(b) - 1(c) 1(d) 0Correct Answer: (d) 0Solution:44. (mx + n) is a factor of: [SSC CGL 03/12/2022 (4th Shift)](a) m² x² + 2nx + n²(b) m² x² + 2mnx + n²(c) m² x² + 2mx + n²(d) m² x² + 2mn + n²Correct Answer: (b) m² x² + 2mnx + n²Solution:45. Solve the following equation: [SSC CGL 03/12/2022 (4th Shift)](a) 1(b) 0(c) 2(d) 3Correct Answer: (d) 3Solution:46. What is the possible value of (a + b + c) – 3 , if a² + b² + c² = 9 and ab + bc + ca = 8 ? [SSC CGL 03/12/2022 (4th Shift)](a) 5(b) 3(c) 9(d) 2Correct Answer: (d) 2Solution:47. If a – b = 2 and a³ – b³ = 80, then what will be the value of ab? [SSC CGL 05/12/2022 (2nd Shift)](a) 12(b) −24(c) 24(d) −12Correct Answer: (a) 12Solution:48. Solve the following equation: [SSC CGL 05/12/2022 (2nd Shift)] (a)(b)(c)(d)Correct Answer: (d)Solution:49. Which of the following statement is correct ? [SSC CGL 05/12/2022 (2nd Shift)](a) Neither I nor II(b) Only II(c) Only I(d) Both I and IICorrect Answer: (c) Only ISolution: 50. Select the correct algebraic expression. [SSC CGL 05/12/2022 (3rd Shift)](a) ab – a – b + 1 = (a – 1) (b – 1)(b) ab + a – b + 1 = (1 – a) (1 – b) (1 – a) (1 + b)(c) ab – a – b + 1 = (1 – a) (b – 1)(d) ab – a – b + 1 = (a – 1) (1 – b)Correct Answer: (a) ab – a – b + 1 = (a – 1) (b – 1)Solution:Submit Quiz« Previous12345