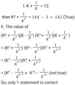
Algebra (SSC) (Part-8)Total Questions: 5011. The value of: [SSC CGL 07/12/2022 (1st Shift)](a) 1/4(b) 1/2(c) 1/3(d) 1/9Correct Answer: (b) 1/2Solution:12. Simplify the following expression. [SSC CGL 07/12/2022 (2nd Shift)](a) 1(b) 0(c) – 1(d) 2Correct Answer: (b) 0Solution:13. Solve the following equation. [SSC CGL 07/12/2022 (2nd Shift)](a)(b)(c)(d)Correct Answer: (b)Solution:14. Solve the following equation: [SSC CGL 07/12/2022 (3rd Shift)](a) 52(b) 58(c) 76(d) 67Correct Answer: (a) 52Solution:15. (a + 1)² + (a + 2)² = 16 then what is the value of 40 + 12a + 4a² ? [SSC CGL 07/12/2022 (4th Shift)](a) 56(b) 62(c) 74(d) 52Correct Answer: (b) 62Solution:16. Which of the following statements is correct ? [SSC CGL 07/12/2022 (4th Shift)](a) Only I(b) Neither I nor II(c) Both I and II(d) Only IICorrect Answer: (a) Only ISolution:17. Find the remainder when we divide 3x⁴ - 2x² + 4x - 1 by 2x - 1 . [SSC CGL 07/12/2022 (4th Shift)](a) 2(b) 3(c) 11/16(d) 15/16Correct Answer: (c) 11/16Solution:18. What is the value of (a + b)² – (a – b)² ? [SSC CGL 08/12/2022 (1st Shift)](a) 2(a² + b²)(b) 4(a² + b²)(c) 8ab(d) 4abCorrect Answer: (d) 4abSolution:19. If m and n are two positive real numbers such that 9m² + n² = 40 and mn = 4, then the value of 3m + n is: [SSC CGL 08/12/2022 (1st Shift)](a) 160(b) 64(c) 10(d) 8Correct Answer: (d) 8Solution:20. The factors of x² + 4y² + 4y - 4xy - 2x - 8 are: [SSC CGL 08/12/2022 (1st Shift)](a) (x - 2y - 4) (x - 2y + 2)(b) (x² - 2y - 4) (x² - 2y + 2)(c) (x + 2y - 4) (x + 2y + 2)(d) (x² - 2y - 4) (x² + 2y + 2)Correct Answer: (a) (x - 2y - 4) (x - 2y + 2)Solution:Submit Quiz« Previous12345Next »