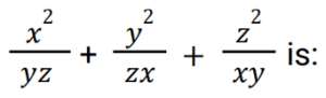
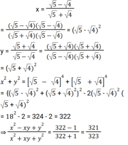
Algebra (SSC) (Part-8)Total Questions: 5021. If y = 1 + √3 + √4, then the value of 2y⁴ - 8y³ - 6y² + 28y - 84 is: [SSC CGL 08/12/2022 (2nd Shift)](a) 40√3(b) 80√3(c) 20√3(d) 60√3Correct Answer: (a) 40√3Solution: 22. Solve the following equation: [SSC CGL 08/12/2022 (2nd Shift)](a) 361/363(b) 341/343(c) 384/387(d) 321/323Correct Answer: (d) 321/323Solution:23. Solve the following equation: [SSC CGL 08/12/2022 (2nd Shift)](a) 10(b) 25(c) 1(d) 15Correct Answer: (b) 25Solution:24. Which of the following will satisfy a² = b² + (ab)b² for the values a and b ? [SSC CGL 08/12/2022 (3rd Shift)](a) a = sin x , b = cot x(b) a = cos x , b = tan x(c) a = cot x , b = cos x(d) a = sin x , b = tan xCorrect Answer: (c) a = cot x , b = cos xSolution:25. If abc = 5, what is the value of: [SSC CGL 08/12/2022 (3rd Shift)](a) 5(b) 1(c) 1/5(d) (a + b + c)Correct Answer: (b) 1Solution:26. If 4(z + 7) (2z – 1) = Az² + Bz + C, then the value of A + B + C is: [SSC CGL 08/12/2022 (3rd Shift)](a) 28(b) 32(c) 74(d) 81Correct Answer: (b) 32Solution:27. Factorize the following expression: p³ + 27. [SSC CGL 08/12/2022 (3rd Shift)](a) (p - 3) (p² - 3p + 9)(b) (p + 3) (p² + 3p + 9)(c) (p + 3) (p² - 3p + 9)(d) (p + 3) (p² - 3p - 9)Correct Answer: (c) (p + 3) (p² - 3p + 9)Solution:28. What is the value of a² + b² + c², if a + b + c = 9 and ab + bc + ca = 23 ? [SSC CGL 08/12/2022 (4th Shift)](a) 22(b) 32(c) 49(d) 35Correct Answer: (d) 35Solution:29. Solve the following equation: [SSC CGL 08/12/2022 (4th Shift)](a) 82(b) 76(c) 86(d) 78Correct Answer: (b) 76Solution:30. If x + y + z = 0, then the value of :- [SSC CGL 09/12/2022 (1st Shift)](a) 3(b) 1(c) 0(d) 2Correct Answer: (a) 3Solution:Submit Quiz« Previous12345Next »