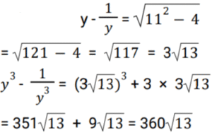
Algebra (SSC) (Part-8)Total Questions: 5031. What is the value of (a + b)3 - a³ + b³ ? [SSC CGL 09/12/2022 (1st Shift)](a) -3ab(a - b) + 2b³(b) 3ab(a + b) + 2b³(c) 3ab(a - b) b³(d) -3ab(a + b) + b³Correct Answer: (b) 3ab(a + b) + 2b³Solution:32. Solve the following equation: [SSC CGL 09/12/2022 (2nd Shift)](a) 10(b) 8(c) 9(d) 6Correct Answer: (b) 8Solution:33. Solve the following equation: [SSC CGL 09/12/2022 (3rd Shift)](a) 1562(b) 1432(c) 1442(d) 1444Correct Answer: (c) 1442Solution:34. Simplify x⁴ - 15x³ + 15x² - 15x + 40; given x = 14. [SSC CGL 09/12/2022 (3rd Shift)](a) 0(b) 40(c) 14(d) 26Correct Answer: (d) 26Solution:35. Solve the following equation: [SSC CGL 09/12/2022 (4th Shift)](a) 345√13(b) 360√13(c) 352√13(d) 368√13Correct Answer: (b) 360√13Solution:36. Solve the following equation: [SSC CGL 09/12/2022 (4th Shift)](a) 6√2(b) 8√3(c) 6√3(d) 8√2Correct Answer: (b) 8√3Solution:37. a³ + b³ + c³ = 3abc if ______. [SSC CGL 09/12/2022 (4th Shift)](a) a + b + c = - 3(b) a + b + c = 0(c) a + b + c = 1(d) a + b + c = - 1Correct Answer: (b) a + b + c = 0Solution:38. Solve the following equation: [SSC CGL 12/12/2022 (1st Shift)](a) - 2(b) 4(c) 0(d) 2Correct Answer: (d) 2Solution:39. Solve the following equation: [SSC CGL 12/12/2022 (1st Shift)](a) 86/25(b) 43/12(c) 81/10(d) 86/11Correct Answer: (a) 86/25Solution:40. If a = 26 and b = 22, then the value of : [SSC CGL 12/12/2022 (1st Shift)](a) 5/3(b) 13/11(c) 1/3(d) 11/13Correct Answer: (c) 1/3Solution:Submit Quiz« Previous12345Next »