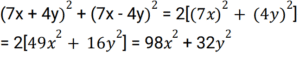
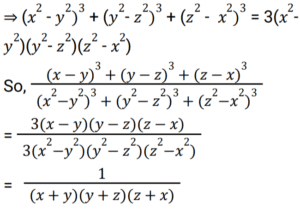
Algebra (SSC) (Part-9)Total Questions: 501. Solve the equation ? [SSC CGL 13/12/2022 (4th Shift)](a) 554(b) 288(c) -288(d) 144Correct Answer: (b) 288Solution:2. If x⁴ + x⁻⁴ = 47, x > 0, then what is the value of x + (1/𝓍) - 2 ? [SSC CPO 09/11/2022 (Morning)](a) 1(b) 0(c) 5(d) 3Correct Answer: (a) 1Solution:3. The value of: [SSC CPO 09/11/2022 (Afternoon)](a) 0(b) 1/(𝑥 + 𝑦 + 𝑧)(c) 1/(𝑥 + 𝑦)(𝑦 + 𝑧)(𝑧 + 𝑥)(d) 1Correct Answer: (c) 1/(𝑥 + 𝑦)(𝑦 + 𝑧)(𝑧 + 𝑥)Solution: 4. If a + b + c = 10 ; a² + b² + c² = 38, what is the value of (a - b)² + (b - c)² + (c - a)² ? [SSC CPO 09/11/2022 (Afternoon)](a) 15(b) 12(c) 14(d) 13Correct Answer: (c) 14Solution:5. Solve the following equation: [SSC CPO 09/11/2022 (Evening)](a) 9/4(b) 11/4(c) 6/4(d) 7/4Correct Answer: (a) 9/4Solution:6. The value of:- [SSC CPO 09/11/2022 (Evening)](a) m + n(b) m − n(c) 2(d) m/nCorrect Answer: (c) 2Solution:7. If x + y + z = 8, and x² + y² + z² = 20 then the value of x³ + y³ + z³ - 3xyz is _______. [SSC CPO 09/11/2022 (Evening)](a) 16(b) 10(c) 15(d) – 16Correct Answer: (d) – 16Solution:8. If {(1 ÷ x) × (x³ - 2x²) + (4³ ÷ 2⁵) × 𝓍} ÷ 25 = 1, then the possible values of x is/are: [SSC CPO 09/11/2022 (Evening)](a) – 5(b) 5(c) 0(d) Both 5 and - 5Correct Answer: (d) Both 5 and - 5Solution:9. The simplified form of (7x + 4y)² + (7x − 4y)² is: [SSC CPO 10/11/2022 (Morning)](a) 98x² + 32y²(b) 98x² + 32y² – 5xy(c) 32x² + 98y²(d) 98x² − 32y²Correct Answer: (a) 98x² + 32y²Solution:10. What are the values of x and y, respectively, from the following equations? [SSC CPO 10/11/2022 (Morning)]6x + 7y = 5xy 10y - 4x = 4xy(a) 3 and 4(b) 4 and 5(c) 2 and 4(d) 2 and 5Correct Answer: (c) 2 and 4Solution:Submit Quiz12345Next »