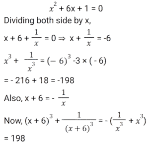
Algebra (SSC) (Part-9)Total Questions: 5011. If x + y = 10, 2xy = 48 and x > y, then find 2x - y. [SSC CPO 10/11/2022 (Morning)](a) 6(b) 8(c) 4(d) 3Correct Answer: (b) 8Solution:12. If a² + b² + 1 = 2a, then the value of a⁴ + b⁷ is: [SSC CPO 10/11/2022 (Afternoon)](a) 1(b) 0(c) 2(d) 4Correct Answer: (a) 1Solution:13. If a,b,c are all non - zero and a + b + c = 0 , find the value of:- [SSC CPO 10/11/2022 (Afternoon)](a) 3(b) 4(c) 1(d) 1/2Correct Answer: (a) 3Solution:14. Simplify: (𝓍 + y)³ - (𝓍 - y)³ - 6y(𝓍² - y²) [SSC CPO 10/11/2022 (Evening)](a) 8y³(b) x³(c) 8x³(d) y³Correct Answer: (a) 8y³Solution:15. Solve the following equation: [SSC CPO 10/11/2022 (Evening)](a) 245(b) 216(c) 186(d) 198Correct Answer: (d) 198Solution:16. If a, b and c are positive integers such that a² + b² = 82 and b² + c² = 65, then the value of 2a + 7b = 3c is: [SSC CPO 11/11/2022 (Morning)](a) 2(b) 5(c) 49(d) 1Correct Answer: (d) 1Solution:17. If x(x - 5) = - 1, then the value of x³ (x³ - 110) = ? [SSC CPO 11/11/2022 (Morning)](a) 0(b) - 1(c) 1(d) 2Correct Answer: (b) - 1Solution:18. Solve the following equation: [SSC CPO 11/11/2022 (Afternoon)](a) p² - 2(b) p²+ 2(c) p⁴ - 2(d) p⁴ + 2Correct Answer: (c) p⁴ - 2Solution:19. If a = - 9.6, b = 4.44 and c = 5.16, then the value of a³ + b³ + c³ - 3abc is: [SSC CPO 11/11/2022 (Afternoon)](a) 0(b) - 1(c) 2(d) 1Correct Answer: (a) 0Solution:20. Solve the following equation: [SSC CPO 11/11/2022 (Afternoon)](a) 15(b) 27(c) 47(d) 30Correct Answer: (c) 47Solution:Submit Quiz« Previous12345Next »