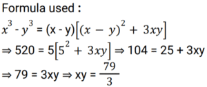
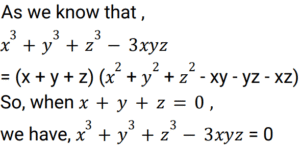
Algebra (SSC) (Part-9)Total Questions: 5041. Solve the following equation: [Higher Secondary 05/08/2022 (Shift - 2)](a) 1/4(b) 8(c) 1/8(d) 4Correct Answer: (c) 1/8Solution:42. If x - y = 5 and x³ - y³ = 520 , then the value of xy is : [Higher Secondary 05/08/2022 (Shift - 2)](a) 79/3(b) 36/5(c) 34/3(d) 76/5Correct Answer: (a) 79/3Solution:43. If x + y + z = 0, then what will be the value of: [SSC CHSL 24/05/2022 (Morning)](a)(b)(c)(d)Correct Answer: (d)Solution:44. If 2a + b = 10, 2ab = 9, and 2a > b, then find the value of 2a – b. [SSC CHSL 24/05/2022 (Afternoon)](a) 12(b) 6(c) 8(c) 8Correct Answer: (c) 8Solution:45. If a + b = 12 and ab = 35, find the value of a⁴ + b⁴ - 10³ ? [SSC CHSL 24/05/2022 (Afternoon)](a) 2226(b) 2026(c) 2126(d) 1226Correct Answer: (b) 2026Solution:46. If a + 2b = 27 and a³ + 8b³ = 5427 , then find the value of 2ab. [SSC CHSL 24/05/2022 (Evening)](a) 176(b) 156(c) 172(d) 149Correct Answer: (a) 176Solution:47. If 𝓍² = b - a𝓍 and 𝓍³ (𝓍³ + c) = d, then which of the following can be the values of c and d ? [SSC CHSL 25/05/2022 (Morning)](a) 𝑐 = 𝑎³ - 3𝑎𝑏 𝑎𝑛𝑑 𝑑 = 𝑏³(b) 𝑐 = -𝑎³ - 3𝑎𝑏 𝑎𝑛𝑑 𝑑 = 𝑏³(c) 𝑐 = 𝑎³ + 3𝑎𝑏 𝑎𝑛𝑑 𝑑 = 𝑏³(d) 𝑐 = 𝑎³ + 3𝑎𝑏 𝑎𝑛𝑑 𝑑 = -𝑏³Correct Answer: (c) 𝑐 = 𝑎³ + 3𝑎𝑏 𝑎𝑛𝑑 𝑑 = 𝑏³Solution:48. If 𝓍 + y + z = 0, then find the value of 𝓍³ + y³ + z³ - 3𝓍yz. [SSC CHSL 25/05/2022 (Afternoon)](a) 1(b) 𝓍³ + y³ + z³(c) 0(d) 3𝓍yzCorrect Answer: (c) 0Solution:49. Solve the following equation: [SSC CHSL 25/05/2022 (Evening)] (a)(b)(c)(d)Correct Answer: (a)Solution:50. If p = 11, then the value of p(p² + 3p + 3) is: [SSC CHSL 25/05/2022 (Evening)](a) 1629(b) 1225(c) 1727(d) 1111Correct Answer: (c) 1727Solution:Submit Quiz« Previous12345