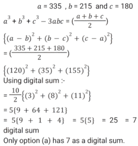
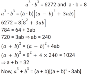
Algebra (SSC)Total Questions: 5011. Simplify: [SSC CHSL 07/08/2023 (3rd Shift)](a) 1/2(b) 2/3(c) 3/2(d) 1/4Correct Answer: (d) 1/4Solution:12. For what positive value of k, the equation 3x² + 2kx + 3 = 0 has real and equal roots? [SSC CHSL 07/08/2023 (2nd Shift)](a) 12(b) 1(c) 3(d) 9Correct Answer: (c) 3Solution:13. Simplify the following expression. [SSC CHSL 04/08/2023 (4th Shift)](a) 3a²(b) 4a²(c) 5a²(d) 2a²Correct Answer: (b) 4a²Solution:14. Find the value of (a³ + b³ + c³- 3abc), where a = 335, b = 215 and c = 180. [SSC CHSL 04/08/2023 (3rd Shift)](a) 14472250(b) 15421320(c) 14502230(d) 15452630Correct Answer: (a) 14472250Solution:15. Simplify the expression : [SSC CHSL 04/08/2023 (1st Shift)] (a)(b)(c)(d)Correct Answer: (a)Solution:16. If x³ = 270 + y³ and x = (6 + y), then What is the value of (x + y)? (given that x > 0 and y > 0) [SSC CHSL 03/08/2023 (4th Shift)](a) 2√3(b) √3(c) 4√3(d) 4√2Correct Answer: (c) 4√3Solution:17. If p + q + r = 0 , then what is the simplified value of the expression. [SSC CHSL 03/08/2023 (2nd Shift)](a) 0(b) 2(c) 1(d) -1Correct Answer: (b) 2Solution:18. Solve the equation ? [SSC CHSL 02/08/2023 (2nd Shift)](a) 22970√23(b) 23030√23(c) 23060√23(d) 22960√23Correct Answer: (b) 23030√23Solution:19. The difference between the cubes of two given natural numbers is 6272, while the positive difference between the two given numbers is 8. What is the sum of the cubes of the two given numbers? [SSC CGL 27/07/2023 (1st shift)](a) 9728(b) 9684(c) 8000(d) 9600Correct Answer: (a) 9728Solution:20. If a = 101, b = 102 and c = 103, then a² + b² + c² - ab - bc - ca = ______. [SSC CGL 24/07/2023 (1st shift)](a) 2(b) 4(c) 3(d) 6Correct Answer: (c) 3Solution:Submit Quiz« Previous12345Next »