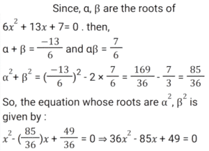
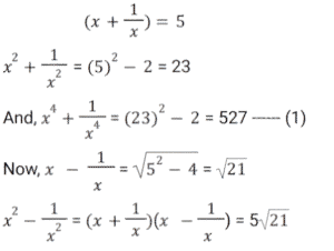
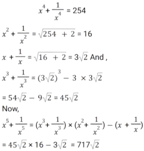
Algebra (SSC)Total Questions: 5021. Find the answer of given equation? [SSC CGL 18/07/2023 (3rd shift)](a) 60605√21(b) 60615√21(c) 60705√21(d) 60725√21Correct Answer: (a) 60605√21Solution: 22. Solve the equation ? [SSC CGL 18/07/2023 (2nd shift)](a) - 8898(b) - 8896(c) - 8886(d) - 8892Correct Answer: (c) - 8886Solution:23. Solve the equation ? [SSC CGL 17/07/2023 (1st shift)](a) 3√5(b) - 4√3(c) - 4√3(d) - 3√5Correct Answer: (d) - 3√5Solution:24. Solve the equation ? [SSC CGL 14/07/2023 (4th shift)](a) 717√2(b) 723√2(c) 720√2(d) 726√2Correct Answer: (a) 717√2Solution:25. Find the value of ab ? [Graduate Level 27/06/2023 (Shift - 4)](a) 3(b) -6(c) 6(d) -3Correct Answer: (b) -6Solution:26. Solve the equation ? [SSC CHSL 20/03/2023 (2nd Shift)](a) 1(b) 0(c) 3(d) 6Correct Answer: (b) 0Solution: 27. For what value of m will the system of equations 17x + my + 102 = 0 and 23x + 299y + 138 = 0 have an infinite number of solutions? [SSC CGL Tier II (02/03/2023)](a) 221(b) 223(c) 220(d) 219Correct Answer: (a) 221Solution:28. If a + b + c = 5, a³ + b³ + c³ = 85 and abc = 25, then find the value of a² + b² + c² - ab - bc - ca. [SSC CGL 13/12/2022 (4th Shift)](a) 2(b) 4(c) 6(d) 8Correct Answer: (a) 2Solution:29. If α , β are the roots of 6x² + 13x + 7 = 0, then the equation whose roots are α² , β² is: [SSC CGL 12/12/2022 (4th Shift)](a) 36𝓍² - 87x + 49 = 0(b) 36𝓍² - 85x + 49 = 0(c) 36𝓍² - 85x - 49 = 0(d) 36𝓍² + 87x - 49 = 0Correct Answer: (b) 36𝓍² - 85x + 49 = 0Solution:30. If x = 222, y = 223 and z = 224, then find the value of 𝓍³ + y³ + z³ -3xyz. [SSC CGL 12/12/2022 (4th Shift)](a) 2007(b) 2004(c) 2006(d) 2005Correct Answer: (a) 2007Solution:Submit Quiz« Previous12345Next »