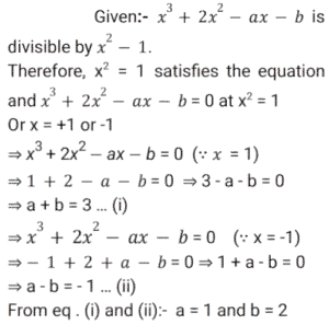
Algebra (SSC)Total Questions: 5031. What is the value of :- [SSC CGL 06/12/2022 (3rd Shift)] (a)(b)(c)(d)Correct Answer: (a)Solution: 32. Which of the following statements is correct ? [SSC CGL 02/12/2022 (4th Shift)]I. The value of 100² - 99² + 98² - 97² + 96² - 95²+ 94² - 93² + ...... + 2² - 1² is 5050.II. If 8x + 8/𝓍 = -16 and x < 0, then the value of x ⁻¹⁹⁷ is 2.(a) Only I(b) Only II(c) Both I and II(d) Neither I nor IICorrect Answer: (a) Only ISolution: 33. Solve the equation ? [SSC CHSL 24/05/2022 (Morning)] (a)(b)(c)(d)Correct Answer: (c)Solution:34. a² + b² = 25, 𝓍² + y² = 17 and ax + by = 8 then find the value of (ay - bx). [SSC CHSL 13/4/2021 (Afternoon)](a) 33(b) 25(c) 21(d) 19Correct Answer: (d) 19Solution:35. Solve the equation ? [SSC CGL Tier II (18/11/2020)](a) 14/13(b) 1(c) 15/13(d) 13/15Correct Answer: (c) 15/13Solution:36. If x³ + 2x² - ax - b is exactly divisble by (x² - 1), then the values of a and b are : [SSC CHSL 21/10/2020 (Afternoon)](a) a = -1, and b = 2(b) a = 1 and b = -2(c) a = 1 and b = 2(d) a = 2 and b = 2Correct Answer: (c) a = 1 and b = 2Solution:37. Solve the equation ? [SSC CHSL 21/10/2020 (Morning)](a) 0(b) 2(c) 1(d) - 1Correct Answer: (c) 1Solution: 38. (ax + by) is a factor of : [SSC CHSL 16/10/2020 (Afternoon)](a) a²x² + 2ab - b²y²(b) a²x² + 2abxy + b²y²(c) a²x³+ 2abx + b²y²x(d) a²x² + 2ab + b²y²Correct Answer: (b) a²x² + 2abxy + b²y²Solution:39. If ‘a’ is a natural number, then (7a² + 7a) is always divisible by: [SSC CHSL 16/10/2020 (Morning shift)](a) 7 and 14 both(b) 7 only(c) 14 only(d) 21 onlyCorrect Answer: (a) 7 and 14 bothSolution:40. Solve the equation ? [SSC CHSL 13/10/2020 (Morning)](a) 7(b) 0(c) 1(d) √7Correct Answer: (c) 1Solution:Submit Quiz« Previous12345Next »