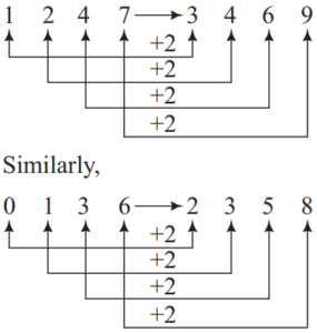
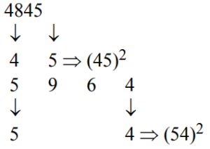
ANALOGY (General Mental Ability) UPSC EPFOTotal Questions: 7051. 365 : 90 :: 623 : ?(a) 36(b) 45(c) 123(d) 63Correct Answer: (a) 36Solution:3 × 6 × 5 = 90 Similarly, 6 × 2 × 3 = 3652. 2, 4, 2, : 4, 16, 4 :: 1, 1, 1 : ?(a) 2, 4, 2(b) 1, 1, 1(c) 2, 2, 2(d) 2, 13, 2Correct Answer: (b) 1, 1, 1Solution:53. 1, 2, 4, 7, : 3, 4, 6, 9, :: ? :2, 3, 5, 8(a) 0, 1, 3, 6(b) 2, 4, 5, 8(c) 1, 3, 4, 7(d) 3, 5, 6, 8Correct Answer: (a) 0, 1, 3, 6Solution:54. XXIV : 48 :: XIV : ?(a) 28(b) 24(c) 14(d) 30Correct Answer: (a) 28Solution:XXIV × 2 ⇒ 24 × 2 = 48 Similarly, XIV × 2 = 14 × 2 = 2855. 4845 : 45² :: 5964 : ?(a) 59²(b) 94²(c) 96²(d) 54²Correct Answer: (d) 54²Solution:56. 2.25 : 13/4 :: 3.75 : ?(a) 17/4(b) 19/4(c) 15/4(d) 11/4Correct Answer: (b) 19/4Solution:2.25 + 1 = 13/4 3.75 + 1 = 19/457. 9143 : 9963 :: 6731 : ?(a) 1368(b) 5666(c) 8964(d) 9694Correct Answer: (c) 8964Solution:As, 9143 = 9 + 1 + 4 + 3 = 17 9963 = 9 + 9 + 6 + 3 = 27 6731 = 6 + 7 + 3 + 1 = 17 Similarly, 8964 = 8 + 9 + 6 + 4 = 2758. 534 : 2 :: ? : ?(a) 102 : 9(b) 553 : 6(c) 884 : 2(d) 999 : 2Correct Answer: (d) 999 : 2Solution:59. 49 : 169 :: 66 : ?(a) 126(b) 132(c) 144(d) 162Correct Answer: (c) 144Solution:60. 562 : 30 :: 663 : ?(a) 44(b) 49(c) 54(d) 58Correct Answer: (c) 54Solution:(5 × 6 × 2) ÷ 2 = 30 Similarly (6 × 6 × 3) ÷ 2 = 54Submit Quiz« Previous1234567Next »