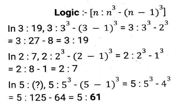
Analogy varieties Question TCS (Part – I)Total Questions: 3631. Select the option that is related to the fifth letter-cluster in the same way as the second letter-cluster is related to the first letter cluster and the fourth letter-cluster is related to the third letter-cluster. [Graduate Level 01/08/2022 (Shift-4)]SYSTEM : RXRSDL :: COHORT : BNGNQS :: SCHEDULE : ?(a) RBCGDTDK(b) RDBCTKDGD(c) RBGDCTKD(d) RBCTKDGDCorrect Answer: (c) RBGDCTKDSolution:The pattern followed here is :Hence, RBGDCTKD is the correct answer.32. Select the option that is related to the third word in the same way as the second word is related to the first word. (The world must be considered as meaningful English words and must NOT be related to each other based on the number of letter/number [Graduate Level 01/08/2022 (Shift-4)]Milk : Curd :: Grape : ?(a) Wine(b) Fruit(c) Sour(d) GreenCorrect Answer: (a) WineSolution:As From Milk, we get Curd,In the same way from Grape we get Wine.Hence, Wine is the correct answer.33. Select the option that is related to the fifth number in the same way as the second number is related to the first number and the fourth number is related to the third number. [S.S.C CHSL 07/06/2022 (Evening)]3 : 19 :: 2 : 7 :: 5 : ?(a) 69(b) 51(c) 5(d) 61Correct Answer: (d) 61Solution:The pattern followed here is :Hence, 61 is the correct answer.34. Select the option that is related to the fifth term in the same way as the second term is related to the first term and fourth term related to third term. [S.S.C CHSL 03/06/2022 (Afternoon)]12 : 1764 :: 8 : 528 :: 16 : ?(a) 4156(b) 4266(c) 4260(d) 4160Correct Answer: (d) 4160Solution:The pattern followed here is :Hence, 4160 is the correct answer.35. Select the option that is related to the fourth term in the same way as the first term is related to the second term and the fifth term is related to the sixth term. [S.S.C CHSL 30/05/2022 (Evening)]7 : 58 :: ? : 370 :: 12 : 153(a) 20(b) 18(c) 21(d) 19Correct Answer: (d) 19Solution:The pattern followed here is :n : (n² + 9) (7 : 58) → (7² + 9) = 58 (12 : 153) → (12² + 9) = 153Let the missing number be y.So,(y : 370) → (y² + 9) = 370 ⇒ y² = 370 - 9 ⇒ y² = 361 ⇒ y = 19 Hence, 19 is the correct answer.36. Select the option that is related to the fifth number in the same way as the second number is related to the first number and the fourth number is related to the third number. [S.S.C CHSL 27/05/2022 (Morning)]9 : 109 :: 7 : 71 :: 13 : ?(a) 238(b) 229(c) 218(d) 209Correct Answer: (d) 209Solution:The pattern followed here is :n : [n × (n + 3)] + 1 (9 : 109) → [9 × (9 + 3)] + 1 = 109 (7 : 71) → [7 × (7 + 3)] + 1 = 71 Similarly,(13 : ?) → [13 × (13 + 3)] + 1 = 209Hence 209 is the correct answer.Submit Quiz« Previous1234