Applied Mechanics (General Engineering) (SSC JE)

Total Questions: 50

21. The inherent property of a body which offers reluctance to change its state of rest or uniform motion is [BPSC AE (GEN. ENGG.)-2006 ]

Correct Answer: (c) inertia
Solution:

Inertia–Inertia is an inherent property of a body which offers reluctance to change its state of rest or uniform motion.

Momentum–It is the total motion possessed by a body.

This is defined as the product of mass and velocity of an object.
M = mv
M = Momentum
m = Mass
v = Velocity

22. Joule is the unit of

Correct Answer: (e) (a & d)
Solution:

SI derived unit
Energy, work   -   Joule
Power          -       Watt
Force          -       Newton
Pressure     -        Pascal
lectric resistance - Ohm

23. One Newton force, is [BPSC AE (GEN. ENGG.)-2006 ]

Correct Answer: (c) 10⁵ dynes
Solution:

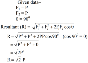
24. If two forces, each equal to P in magnitude, act at right angles, their effect may be neutralised by a third force acting along their bisector in opposite direction whose magnitude is equal to [BPSC AE (GEN ENGG.)-03.12.2012 ]

Correct Answer: (c) √2P
Solution:

25. The conditions of equilibrium of a coplanar non-concurrent force are [BPSC AE (GEN ENGG.)-03.12.2012 ]

Correct Answer: (d) ΣH = 0, ΣV = 0, ΣM = 0
Solution:

Coplanar non-concurrent forces–The forced which do not meet at one point but their lines action lie on the same plane, are known as coplanar non-concurrent forces. A number of forces on a particle will be in equilibrium when
ΣH = 0
ΣV = 0
ΣM = 0
Coplanar concurrent forces–A number of forces on a particle will be in equilibrium when
ΣH = 0
ΣV = 0

26. Solve the following question. [BPSC AE (GEN ENGG.)-03.12.2012 ]

Correct Answer: (b)
Solution:

27. Radha and Mohan move identical boxes equal distances in a horizontal direction. Radha slides the box on a surface that is frictionless. Mohan lifts the box, carries it that distance and sets it down again. [RRB S.S.E. (Secunderabad) 02.09.2015 (Shift-I) ]

Correct Answer: (c) Neither Radha nor Mohan do any work
Solution:

Neither Radha nor mohan do any work, because displacement is zero
Work = Force × Displacement
W = F × d
W = F ×0
W = 0

28. A ladder is resting on a smooth ground and learning against a rough vertical wall, the force of friction acts : [RRB JE (Ranchi) 04.01.2015 ]

Correct Answer: (c) Upward at its upper end
Solution:


The ladder moving is downward direction the friction force is opposite the direction of motion. So, the friction force in the upward direction.

29. An object A of mass m moving with velocity v collides with a second object B of the same mass lying at rest. During the collision, object A transfers its total kinetic energy to object B and comes to rest. After collision, the velocity of object B is– [RRB JE 30.08.2015 (Shift-III) ]

Correct Answer: (a) v
Solution:

30. A particular place is at a height h above the surface of the earth (radius R). The acceleration due to gravity at that place is proportional to– [RRB JE 30.08.2015 (Shift-III) ]

Correct Answer: (b) (R + h)
Solution:

If the earth is considered a sphere of mass m and radius R with centre O and g is the acceleration due to gravity at point on surface of earth then.• If g' is acceleration due to gravity at height h above the surface of earth at point thenG & m is constant