Applied Mechanics (General Engineering) (SSC JE)

Total Questions: 50

41. Kinetic energy during collision is lost due to [MPSC AE PRE -09.07.2017]

Correct Answer: (d) All of the above
Solution:

Inelastic collision–An inelastic collision kinetic energy is lost during collision. The basic characteristic of an inelastic collision are–
• Linear momentum is conserved
• Kinetic energy is not conserved
• Total energy is conserved
• Coefficient of restitution of 0 < e < 1.
For solving problems of inelastic collision we can use–

42. What is the translatory effect of couple ? [MPSC AE PRE -09.07.2017]

Correct Answer: (a) Zero
Solution:

A couple consists of two parallel forces that are equal in magnitude, opposite in sense and do not share a line of action. It does not produce any translation, only rotation. The resultant force of a couple is zero.

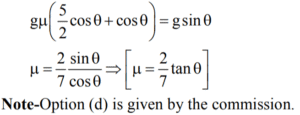
43. The minimum coefficient of friction between a sphere and an inclined plane of θ, so that the sphere may roll without slipping is [JPSC AE (GEN. ENGG)-2013 ]

Correct Answer: (c)
Solution:

Figure shows a sphere on an inclined plane without slipping.

Sphere is rolling due to the torque created by friction force µR


44. Horizontal range of a projectile fired with initial velocity u at angle α to horizontal is equal to [JPSC AE (GEN. ENGG)-2013 ]

Correct Answer: (a)
Solution:

The horizontal range of the project fired at an angle is given by–


45. A projectile is fired with initial velocity u at an angle 55⁰ to horizontal. Then second projectile was fired with the same velocity but at an angle 35⁰ to horizontal. Then the ratio of horizontal projection of first one to second one is [BPSC AE (GEN. ENGG.) 15.09.2018 ]

Correct Answer: (b) equal to 1
Solution:

46. If a roller is to be pulled over a curb, the least force q required is [BPSC AE (GEN. ENGG.) 15.09.2018 ]

Correct Answer: (d) 90⁰ to the reaction
Solution:


47. Which one of the following is fundamental law of forces? [BPSC AE (GEN. ENGG.) 15.09.2018 ]

Correct Answer: (c) Parallelogram law
Solution:

48. Free-body diagram means [BPSC AE (GEN. ENGG.) 15.09.2018 ]

Correct Answer: (c) the diagram of a body with applied forces, self-weight and reactions
Solution:

Free-body diagram–It is a diagram of a body that represent the loading conditions with its self-weight and reactions for analysis is know as free body diagram.

49. In technique used to reduce a coplanar or parallel force system to a single resultant force, the resultant force is equal to [MPSC AE PRE.-08.07.2018 ]

Correct Answer: (a) sum of all forces in the system.
Solution:

The resultant force used to reduce a coplanar or parallel force system to a single force that is equal to the algebraic sum of all forces in the system.

50. The gravitational force of attraction between the earth and sun is balanced by [BPSC AE (GEN. ENGG.)-1995 ]

Correct Answer: (a) centripetal force
Solution:

The gravitational force of attraction between the earth and the sun is balanced by the centripetal force. The centripetal force is responsible for keeping the earth in its orbit, constantly pulling it towards the sun.

According to Newton's law of motion any object moving in a circular path experience a centripetal force directed toward the circle. This force enables the earth to maintain its orbit path around the sun counteracting the pull of gravity.