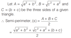
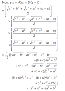
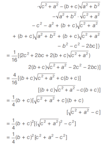
AREA AND PERIMETER (CDS)Total Questions: 11661. A copper wire when bent in the form of a square encloses an area of 121 cm² . If the same wire is bent in the form of a circle, it encloses an area equal to [2017 (I) Morning Shift](a) 121 cm²(b) 144 cm²(c) 154 cm²(d) 168 cm²Correct Answer: (c) 154 cm²Solution:Let the length of the square be a cm62. A field is divided into four regions as shown in the given figure. What is the area of the field in square metres? [2017 (I) Morning Shift](a)(b)(c)(d)Correct Answer: (c)Solution:63. Solve the following equation [2016 (II) Evening Shift](a)(b)(c)(d)Correct Answer: (c)Solution: 64. What is area of largest triangle inscribed in a semi-circle of radius r units? [2016 (II) Evening Shift](a) r² square units(b) 2r² square units(c) 3r² square units(d) 4r² square unitsCorrect Answer: (a) r² square unitsSolution:Largest triangle inscribed in a semi-circle is ∆ABC.65. The diameter of the front wheel of an engine is 2x cm and that of rear wheel is 2 y cm. To cover the same distance, what is the number of times the rear wheel revolves when the front wheel revolves n times? [2016 (II) Evening Shift](a)(b)(c)(d)Correct Answer: (c)Solution:Diameter of front wheel = 2x cm66. The wheels of a car are of diameter 80 cm each. The car is travelling at a speed of 66 km/h. What is the number of complete revolutions each wheel makes in 10 min? [2016 (II) Evening Shift](a) 4275(b) 4350(c) 4375(d) 4450Correct Answer: (c) 4375Solution:Given, radius of wheel = 80/2 cm = 40 cm67. What is the area of a triangle with sides of length 12 cm, 13 cm and 5 cm? [2016 (II) Evening Shift](a) 30 cm²(b) 35 cm²(c) 40 cm²(d) 42 cm²Correct Answer: (a) 30 cm²Solution:Given, the length of the sides are a = 12 cm, b = 13 cm68. If the perimeter of a circle is equal to that of a square, then what is the ratio of area of circle to that of square? [2016 (II) Evening Shift](a) 22 : 7(b) 14 : 11(c) 7 : 22(d) 11 : 14Correct Answer: (b) 14 : 11Solution:Let r be the radius of a given circle and a be the length of each side of a given square.69. Two circles touch externally and sum of their areas is 130 2 π cm and the distance between their centres is 14 cm. What is the difference in the radii of the circles? [2016 (II) Evening Shift](a) 5 cm(b) 6 cm(c) 7 cm(d) 8 cmCorrect Answer: (b) 6 cmSolution:Let r₁ and r₂ be the radius of the two circles.70. What is the number of rounds that a wheel of diameter 5/11 m will make in traversing 7 km ? [2016 (II) Evening Shift](a) 3300(b) 3500(c) 4400(d) 4900Correct Answer: (d) 4900Solution:Given, diameter of wheel = 5/11 mSubmit Quiz« Previous123456789101112Next »