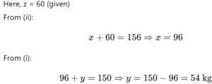
Solution:Number of people who read either or both languages:
= 15 − 3 = 12.

∴a + b + c = 12
Number of people who read French:
a + b = 7
Number of people who read English:
b + c = 8
∴(a + b)+(b + c) = 7 + 8 =15 ⇒ (a + b + c)+b = 15 ⇒ 12 + b =15
⇒ b = 3
∴ a = 4 and c = 5
Hence, number of people who can read exactly one language
=a + c = 9