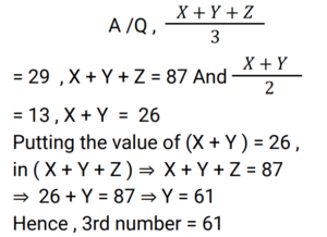
Average (Railway Maths) (Part – II)Total Questions: 5041. If the average of 6 positive integers is 45 and the difference between the largest and the smallest of these 6 numbers is 18, then what is the minimum value possible for the smallest of these 6 integers? [RRB NTPC 17/02/2021 (Evening)](a) 29(b) 30(c) 31(d) 27Correct Answer: (b) 30Solution:42. The average salary of a husband and wife is Rs. 65,000 and the ratio of their salaries is 15 : 11 respectively. How much is the salary of the wife? [RRB NTPC 03/03/2021 (Evening)](a) Rs. 55,000(b) Rs. 75,000(c) Rs. 27,500(d) Rs. 32,500Correct Answer: (a) Rs. 55,000Solution:43. What is the third number in a group of three numbers with a combined average of 29, when the average of the other two numbers is 13? [RRB NTPC 05/03/2021 (Morning)](a) 34(b) 28(c) 61(d) 30Correct Answer: (c) 61Solution:44. The mean of three numbers is 53. The range of this data set is 28 while the difference between the two smallest numbers is 8. The greatest of the three numbers is: [RRB NTPC 09/03/2021 (Evening) ](a) 72(b) 71(c) 73(d) 69Correct Answer: (d) 69Solution:45. The average marks obtained by a group of 45 students were 16.2. One student left the group as a result of which the average of the remaining students rose to 16.5. But another student came in as a result of which the average marks of the group dropped a bit and became 16.4. What were the average marks obtained by the student who left and the one who joined? [RRB NTPC 12/03/2021 (Evening)](a) 12(b) 15(c) 6(d) 7.5Correct Answer: (d) 7.5Solution:46. Calculate the mean for the following set of values: 2.2, 4.2, 6.4, 8.3, 10.5 [RRB NTPC 15/03/2021 (Morning)](a) 6.32(b) 7(c) 6.12(d) 6.50Correct Answer: (a) 6.32Solution:47. If the average of 6 positive integers is 45 and the difference between the largest and the smallest of these numbers is 18, what is the maximum value possible for the largest integer of these 6 integers? [RRB NTPC 19/03/2021 (Morning)](a) 60(b) 54(c) 57(d) 63Correct Answer: (a) 60Solution:48. The mean of the ages of three friends is 22. If the mean of the ages of four friends is 24, then find the age of the fourth friend. [RRB NTPC 27/03/2021 (Evening)](a) 24(b) 30(c) 31(d) 22Correct Answer: (b) 30Solution:49. The arithmetic mean of a set of 16 observations is 12. If 8 is subtracted from each of six numbers of these observations, then the new arithmetic mean is _____. [RRB NTPC 01/04/2021 (Evening)](a) 11(b) 9(c) 10(d) 15Correct Answer: (b) 9Solution:50. If the average of 6 positive integers is 55 and the difference between the largest and the smallest of these 6 numbers is 24, what is the maximum value possible for the largest of these 6 integers? [RRB NTPC 23/07/2021 (Morning) ](a) 81(b) 75(c) 78(d) 72Correct Answer: (b) 75Solution:Submit Quiz« Previous12345