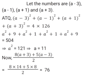
Average (SSC) (Part-7)Total Questions: 2721. The average age of 7 members of a family is 35 years. If the youngest members are twins and they are 15 years old, then what was the average age (in years) of the family members at the time of the birth of the twins? [SSC CHSL 12/8/2021 (Afternoon)](a) 28(b) 27(c) 30(d) 25Correct Answer: (a) 28Solution:22. The average weight of 30 persons of group A is 3 kg more than the average weight of 25 persons of group B. The average weight of 25 persons of group B is 2.5 kg more than the average weight of 20 persons of group C. If the total weight of 30 persons of group A is 1725 kg, then what will be the average weight of the persons of group A and group C taken together? [SSC CHSL 12/04/2021 (Morning)](a) 55.3(b) 55.4(c) 55.1(d) 55Correct Answer: (a) 55.3Solution:23. The average of the squares of four consecutive even natural numbers is 126. The average of 8 times of the greatest number and 5 times of the smallest number is: [SSC CHSL 15/4/2021 (Evening)](a) 66(b) 76(c) 68(d) 74Correct Answer: (b) 76Solution:24. The average weight of a group of 3 people A, B and C is 70 kg. When D joins this group, the average becomes 60 kg. One man E whose weight is 5 kg more than that of D, replaces A and the average weight of B, C, D and E now becomes 59 kg. A’s weight (in kg) is: [SSC CPO 23/11/2020 (Evening)](a) 50(b) 40(c) 39(d) 59Correct Answer: (c) 39Solution:25. The average temperature for monday, wednesday and friday was 41°C. The average for wednesday, thursday and friday was 42°C, If the temperature on Thursday was 43°C, then the temperature on monday was: [SSC CPO 24/11/2020 (Evening)](a) 42°C(b) 40°C(c) 43°C(d) 41°CCorrect Answer: (b) 40°CSolution:26. The average of three numbers a, b and c is 2 more than c. The average of a and b is 48. If d is 10 less than c then the average of c and d is: [SSC CGL Tier II (15/11/2020)](a) 36(b) 40(c) 35(d) 38Correct Answer: (b) 40Solution:27. The number of students in section A and section B of the class are 40 and 52, respectively. The average score in mathematics of all the students is 75. If the average score of the students in A is 20% more than that of students in B, then what is the average score of students in B? [SSC CGL Tier II (16/11/2020)](a) 65(b) 63(c) 71(d) 69Correct Answer: (d) 69Solution:Submit Quiz« Previous123