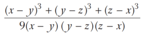
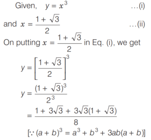
BASIC OPERATION AND FACTORISATION (CDS)Total Questions: 771. Solve the following equation [2019 (II) Evening Shift](a) 6(b) 7(c) 8(d) 9Correct Answer: (a) 6Solution: 2. What is the value of [2019 (II) Evening Shift](a) 0(b) 1/3(c) 1/9(d) 1Correct Answer: (b) 1/3Solution:3. Solve the following equation [2019 (II) Evening Shift](a) 8y² - 20y - 1 = 0(b) 8y² + 20y - 1 = 0(c) 8y² + 20y + 1 = 0(d) 8y² - 20y + 1 = 0Correct Answer: (a) 8y² - 20y - 1 = 0Solution: 4. For what value of k can the expression x³ + kx² - 7x + 6 be resolved into three linear factors? [2019 (II) Evening Shift](a) 0(b) 1(c) 2(d) 3Correct Answer: (a) 0Solution:For a particular value of k we must get 3 different value of x.5. The quotient when x⁴ - x²+ 7x + 5 is divided by (x + 2) is ax³ + bx² + cx + d What are the values of a, b, c and d, respectively? [2019 (II) Evening Shift](a) 1, 2, 3, 1(b) -1, 2, 3, 1(c) 1, -2, -3, -1(d) -1, 2, 3, -1Correct Answer: (a) 1, 2, 3, 1Solution:6. What is (x - a) (x - b) (x - c) equal to ? [2019 (II) Evening Shift](a) x³ - (a + b + c) x² +(bc + ca + ab)x - abc(b) x³ + (a + b + c) x² +(bc + ca + ab)x + abc(c) x³ - (bc + ca + ab) x² +(a + b + c)x - abc(d) x³ + (bc + ca + ab) x²- (a + b + c)x - abcCorrect Answer: (a) x³ - (a + b + c) x² +(bc + ca + ab)x - abcSolution:Let y = (x - a) (x - b) (x - c)7. A real number x is such that (x - x²) is maximum. What is x equal to ? [2019 (II) Evening Shift](a) −1.5(b) −0 5.(c) 0 5.(d) 1.5Correct Answer: (c) 0 5.Solution:x is a real number such tha (x - x²) is maximum. 8. What is the sum of all integer values of n for which n² + 19n +92 is a perfect square? [2019 (II) Evening Shift](a) 21(b) 19(c) 0(d) −19Correct Answer: (d) −19Solution: 9. Solve the following equation [2019 (I) Morning Shift](a) 1(b) √2(c) √3(d) 2Correct Answer: (d) 2Solution: 10. For x > 0, what is the minimum [2019 (I) Morning Shift](a) 1(b) 2(c) 2½(d) Cannot be determinedCorrect Answer: (c) 2½Solution:Submit Quiz12345678Next »