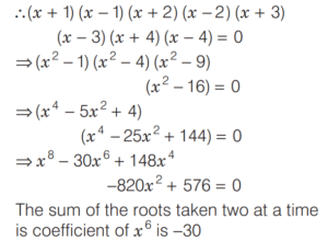
BASIC OPERATION AND FACTORISATION (CDS)Total Questions: 7711. Solve the following equation [2019 (I) Morning Shift](a)(b)(c)(d)Correct Answer: (a)Solution: 12. Solve the following equation [2019 (I) Morning Shift](a) 1(b) 2(c) 1.33(d) 2.33Correct Answer: (b) 2Solution: 13. Solve the following equation [2019 (I) Morning Shift](a) Each fraction is equal to 1 or − 1(b) Each fraction is equal to 1/2 or 1(c) Each fraction is equal to 1/2 or − 1(d) Each fraction is equal to 1/2 onlyCorrect Answer: (d) Each fraction is equal to 1/2 onlySolution:14. If (4a + 7b)(4c - 7d) = (4a - 7b)(4c + 7d) then which one of the following is correct? [2019 (I) Morning Shift](a)(b)(c)(d)Correct Answer: (a)Solution:15. Solve the following equation [2019 (I) Morning Shift](a) 1(b) 0(c) 1/3(d) 3Correct Answer: (a) 1Solution:16. Solve the following equation [2019 (I) Morning Shift](a) 1/y(b) − 1/y(c) 2/y(d) − 2/yCorrect Answer: (a) 1/ySolution:17. Solve the following equation [2018 (II) Evening Shift](a) 2(b) 1(c) 0(d) – 2Correct Answer: (a) 2Solution:18. Solve the following equation [2018 (II) Evening Shift](a)(b)(c)(d)Correct Answer: (b)Solution:We know that,19. The sum of all possible products taken two at a time out of the numbers ±1, ±2, ±3, ±4 is [2018 (II) Evening Shift](a) 0(b) –30(c) 30(d) 55Correct Answer: (b) –30Solution:Let ±1, ±2, ±3, ±4 are the roots of the polynomials20. The remainder when 3x³ - 2x² y - 13xy² + 10y³ is divided by (x - 2y) is equal to [2018 (II) Evening Shift](a) 0(b) y(c) y - 5(d) y + 3Correct Answer: (a) 0Solution:Let f (x)Submit Quiz« Previous12345678Next »