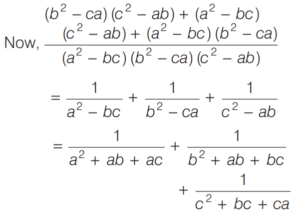
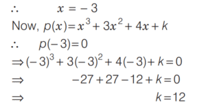
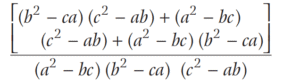
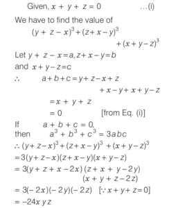
BASIC OPERATION AND FACTORISATION (CDS)Total Questions: 7721. If ab + bc + ca = 0, then the value of [2018 (II) Evening Shift](a) –1(b) 0(c) 1(d) 2Correct Answer: (b) 0Solution:We have, ab + bc + ca = 0 22. If a + b + = 2c, then what is the [2018 (I) Morning Shift](a) −1(b) 0(c) 1(d) 2Correct Answer: (c) 1Solution:Given, a + b = 2c23. Solve the following equation [2018 (I) Morning Shift](a) 1(b) 2(c) 0(d) −1Correct Answer: (a) 1Solution:24. If x + y + z = 0 , then what is (y + z - x)³ + (z + x - y)³ (x + y - z)³ equal to ? [2018 (I) Morning Shift](a) (x + y + z)³(b) 3(x + y) (y + z) (z + x)(c) 24xyz(d) - 24xyzCorrect Answer: (d) - 24xyzSolution:25. If (x + 3) is a factor of x³ + 3x² + 4x + k then what is the value of k? [2018 (I) Morning Shift](a) 12(b) 24(d) 72Correct Answer: (a) 12Solution:As, (x + 3) is a factor of given equation26. Which one of the following is a zero of the polynomial 3x³ + 4x² -7 ? [2018 (I) Morning Shift](a) 0(b) 1(c) 2(d) −1Correct Answer: (b) 1Solution:27. The remainder when 3x³ + kx² + 5x - 6 is divided by (x + 1) is -7. What is the value of k? [2018 (I) Morning Shift](a) -14(b) 14(c) -7(d) 7Correct Answer: (d) 7Solution:28. If f(x) and g(x) are polynomials of degree p and q respectively, then the degree of {f(x) ± g(x)} (if it is non- zero) is [2018 (I) Morning Shift](a) greater than min (p, q)(b) greater than max (p, q)(c) less than or equal to max (p, q)(d) equal to min (p, q)Correct Answer: (c) less than or equal to max (p, q)Solution:29. Solve the following equation [2018 (I) Morning Shift](a) 125(b) −125(c) 140(d) −140Correct Answer: (c) 140Solution:30. Solve the following equation [2017 (II) Evening Shift](a) 1/2(b) 1(c) 2(d) 3Correct Answer: (b) 1Solution:Submit Quiz« Previous12345678Next »