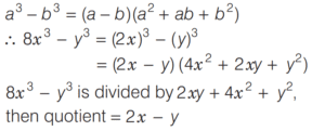
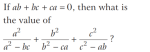
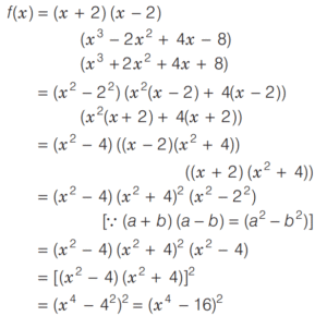
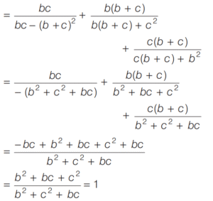
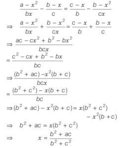
BASIC OPERATION AND FACTORISATION (CDS)Total Questions: 7731. Let f(x) and g(x) be two polynomials (with real coefficients) having degrees 3 and 4 respectively. What is the degree of f(x) g(x) ? [2017 (II) Evening Shift](a) 12(b) 7(c) 4(d) 3Correct Answer: (b) 7Solution:32. Solve the following equation [2017 (II) Evening Shift](a)(b)(c)(d)Correct Answer: (a)Solution:33. Solve the following equation [2017 (II) Evening Shift](a)(b)(c)(d)Correct Answer: (a)Solution:Given equation is34. Solve the following equation [2017 (II) Evening Shift](a) 3(b) 0(c) 1(d) −1Correct Answer: (c) 1Solution:If ab + bc + ca = 0, then what is the value of 35. Solve the following equation [2017 (II) Evening Shift](a)(b)(c)(d)Correct Answer: (b)Solution:36. If 5x² + 5x² - 6x + 9 is divided by (x + 3) then the remainder is [2017 (II) Evening Shift](a) 135(b) - 135(c) 63(d) - 63Correct Answer: (d) - 63Solution:We have,37. The quotient of 8x³ - y³ when divided by 2xy + 4x² + y² is ? [2017 (II) Evening Shift](a) 2x + y(b) x + 2y(c) 2x − y(d) 4x − yCorrect Answer: (c) 2x − ySolution:We have,38. If (x + 2) is a common factor of x² + ax + b and x²³ + bx + a , then the ratio a : b is equal to [2017 (II) Evening Shift](a) 1(b) 2(c) 3(d) 4Correct Answer: (a) 1Solution:We have, x + 2 is factor of x² + ax + b39. The product of the polynomials (x + 2) (x - 2), (x³ - 2x² + 4x - 8) and (x³ + 2x² + 4x + 8) is [2017 (II) Evening Shift](a) x⁸ - 256(b) (x⁴ - 16)²(c) (x⁴ + 16)²(d) (x² - 4)⁴Correct Answer: (b) (x⁴ - 16)²Solution:Let f (x) be the product of given polynomials. Then,40. The factors of x(x + 2) (x + 3) (x + 5) - 72 are [2017 (II) Evening Shift](a) x, (x + 3), (x + 4) and (x – 6)(b) (x - 1), (x + 6) and (x ² - 2x - 12)(c) (x - 1), (x + 6) and (x² + 5x + 12)(d) (x + 1), (x - 6) and (x² - 5x - 12)Correct Answer: (c) (x - 1), (x + 6) and (x² + 5x + 12)Solution:Let,Submit Quiz« Previous12345678Next »